🇳🇴 🇬🇧 🇩🇪 🇨🇿 🇫🇮

Meteor Prestfossin yllä 2022-10-03 23:06:32 UTC

KML-tiedosto  |  Interaktiivinen kartta

Kartta näyttää meteorin suuntahavainnot. Vaaleammat viivat näyttävät suunnat havaintoasemilta meteorin ilmestyessä, ja tummemmat viivat näyttävät, missä se viimeksi nähtiin. Sininen nuoli näyttää meteorin näkyvän lennon.

static map
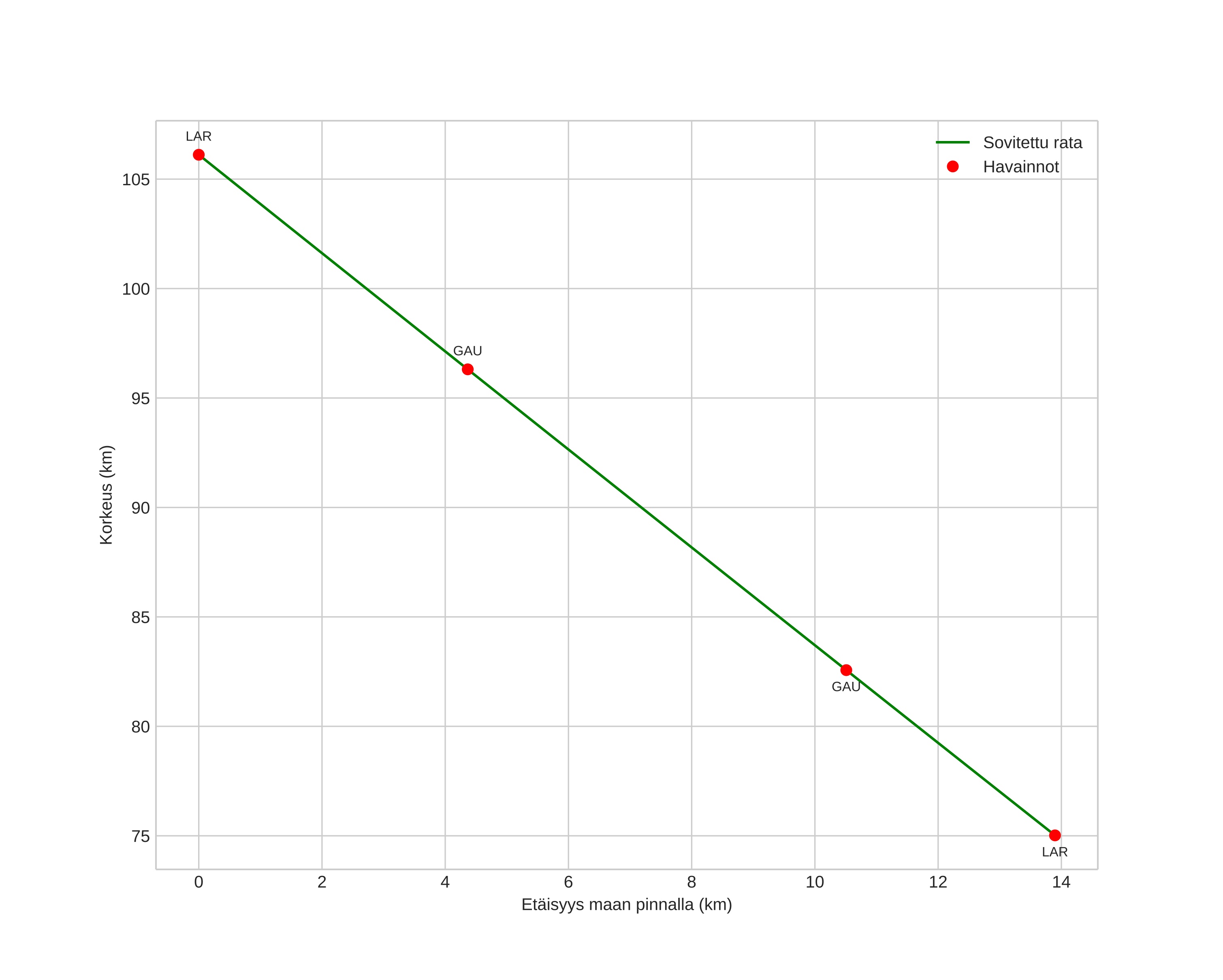
height profile
Meteorin ilmakehärata:
Alkukorkeus: 107,8 km
Loppukorkeus: 74,9 km
Alkupiste: 60,070N 9,735E
Loppupiste: 59,939N 9,686E
Suunta: 190,6°
Kallistuskulma: 65,7°
Tulonopeus: 44,5 km/s
Radiantin R,A,: 02:54 (43,7°)
Radiantin Dekl,: 82,8°
Meteoriparvi: Sporadinen
Meteoroidin rataelementit:
Perihelietäisyys: 0,956 AU
Eksentrisyys: 0,810
Inklinaatio: 74,6°
Nousevan solmun pituus: 190,4°
Perihelin argumentti: 205,9°
Keskianomalia: 358,4°
Epookki: 2022 OCT 03 23:06:32
orbit plot

Ei-interaktiivinen kuvaaja | Interaktiivinen kuvaaja

position vs time
speed and acceleration