🇳🇴 🇬🇧 🇩🇪 🇨🇿 🇫🇮

Meteor, poloha: Storsteinnes 2022-10-05 18:06:13 UTC

Soubor KML  |  InteraktivnĂ­ mapa

Mapa zobrazuje dráhy meteoru. Světlejší čáry ukazují směry od pozorovacích stanic při objevení se meteoru a tmavší čáry, kde byl naposledy viděn. Modrá šipka značí viditelnou dráhu meteoru.

static map
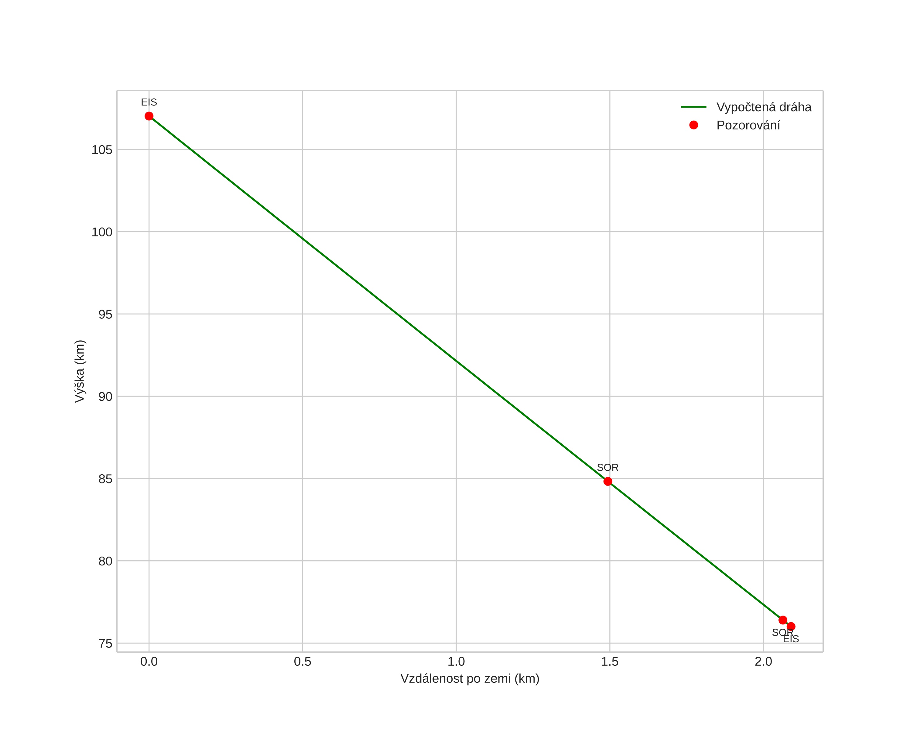
height profile
Atmosférická dráha meteoru:
Počáteční výška: 107,3 km
Konečná výška: 74,7 km
Počáteční poloha: 69,410N 19,393E
Konečná poloha: 69,403N 19,431E
Směr: 119,2°
Sklon: 87,1°
VstupnĂ­ rychlost: 32,8 km/s
Rektascenze radiantu: 19:45 (296,4°)
Deklinace radiantu: 70,5°
MeteorickĂ˝ roj: sporadickĂ˝
Elementy dráhy meteoroidu:
Vzdálenost v periheliu: 0,981 AU
Excentricita: 0,944
Sklon dráhy: 47,7°
Délka vzestupného uzlu: 192,2°
Argument perihelia: 196,1°
Střední anomálie: 359,8°
Epocha: 2022 OCT 05 18:06:13
orbit plot

NeinteraktivnĂ­ graf | InteraktivnĂ­ graf

position vs time
speed and acceleration