🇳🇴 🇬🇧 🇩🇪 🇨🇿 🇫🇮

Meteor Storsteinnesin yllä 2022-10-05 18:06:13 UTC

KML-tiedosto  |  Interaktiivinen kartta

Kartta näyttää meteorin suuntahavainnot. Vaaleammat viivat näyttävät suunnat havaintoasemilta meteorin ilmestyessä, ja tummemmat viivat näyttävät, missä se viimeksi nähtiin. Sininen nuoli näyttää meteorin näkyvän lennon.

static map
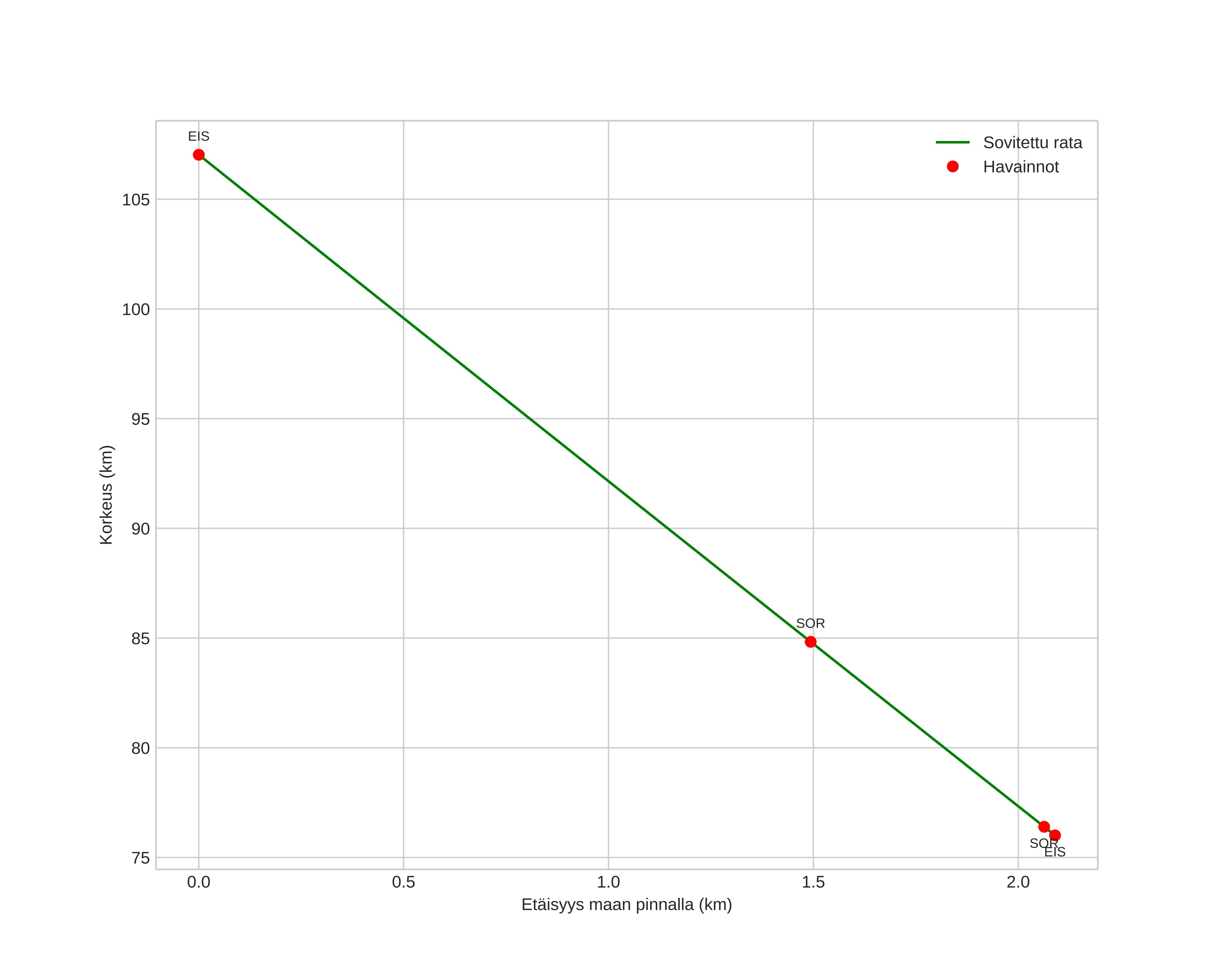
height profile
Meteorin ilmakehärata:
Alkukorkeus: 107,3 km
Loppukorkeus: 74,7 km
Alkupiste: 69,410N 19,393E
Loppupiste: 69,403N 19,431E
Suunta: 119,2°
Kallistuskulma: 87,1°
Tulonopeus: 32,8 km/s
Radiantin R,A,: 19:45 (296,4°)
Radiantin Dekl,: 70,5°
Meteoriparvi: Sporadinen
Meteoroidin rataelementit:
Perihelietäisyys: 0,981 AU
Eksentrisyys: 0,944
Inklinaatio: 47,7°
Nousevan solmun pituus: 192,2°
Perihelin argumentti: 196,1°
Keskianomalia: 359,8°
Epookki: 2022 OCT 05 18:06:13
orbit plot

Ei-interaktiivinen kuvaaja | Interaktiivinen kuvaaja

position vs time
speed and acceleration