🇳🇴 🇬🇧 🇩🇪 🇨🇿 🇫🇮

Meteor, poloha: Finnsnes 2022-10-14 23:17:02 UTC

Soubor KML  |  InteraktivnĂ­ mapa

Mapa zobrazuje dráhy meteoru. Světlejší čáry ukazují směry od pozorovacích stanic při objevení se meteoru a tmavší čáry, kde byl naposledy viděn. Modrá šipka značí viditelnou dráhu meteoru.

static map
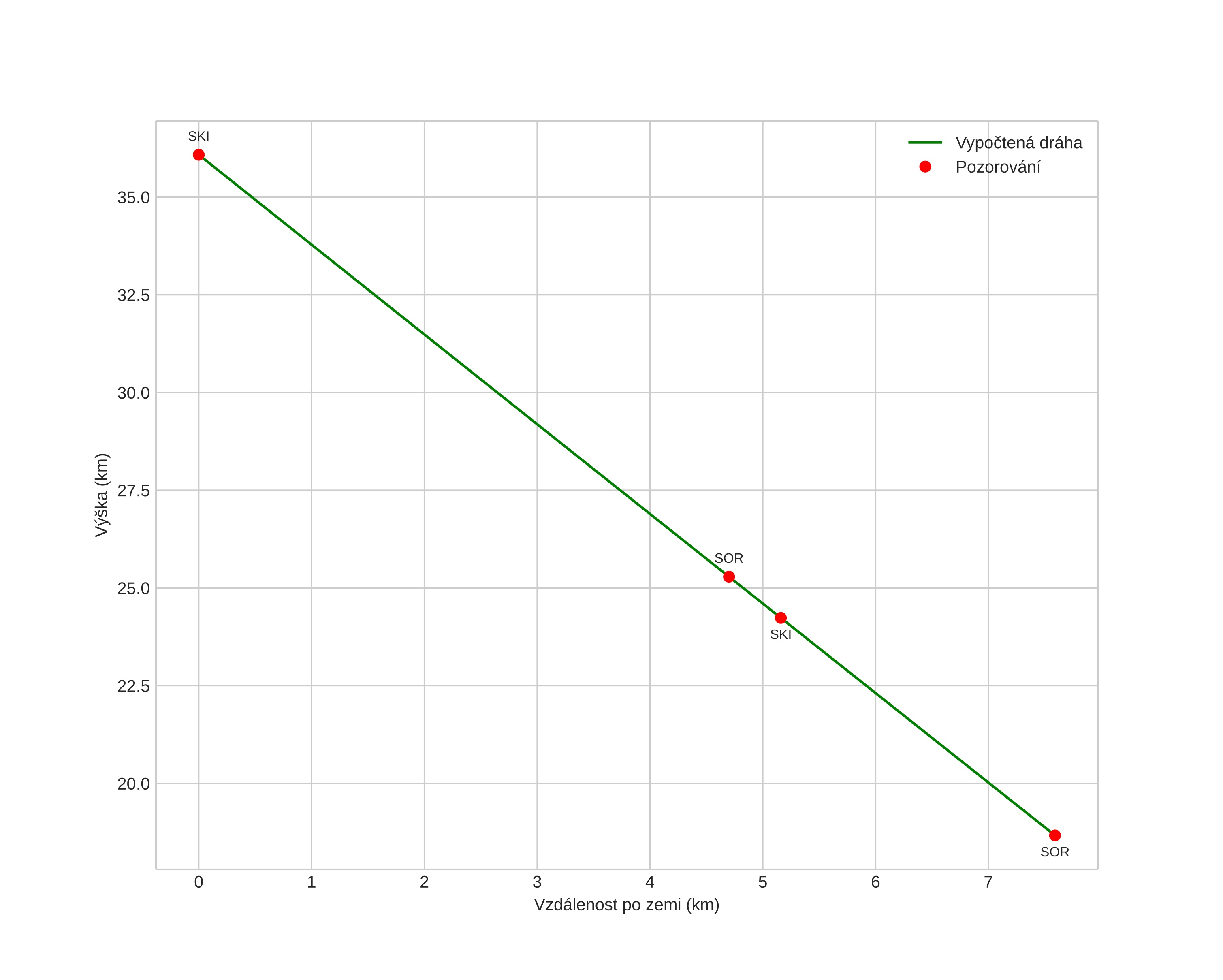
height profile
Atmosférická dráha meteoru:
Počáteční výška: 36,1 km
Konečná výška: 18,6 km
Počáteční poloha: 69,908N 18,299E
Konečná poloha: 69,954N 18,160E
Směr: 313,9°
Sklon: 67,3°
VstupnĂ­ rychlost: 10,9 km/s
position vs time
speed and acceleration