🇳🇴 🇬🇧 🇩🇪 🇨🇿 🇫🇮

Meteor Finnsnesin yllä 2022-10-14 23:17:02 UTC

KML-tiedosto  |  Interaktiivinen kartta

Kartta näyttää meteorin suuntahavainnot. Vaaleammat viivat näyttävät suunnat havaintoasemilta meteorin ilmestyessä, ja tummemmat viivat näyttävät, missä se viimeksi nähtiin. Sininen nuoli näyttää meteorin näkyvän lennon.

static map
height profile
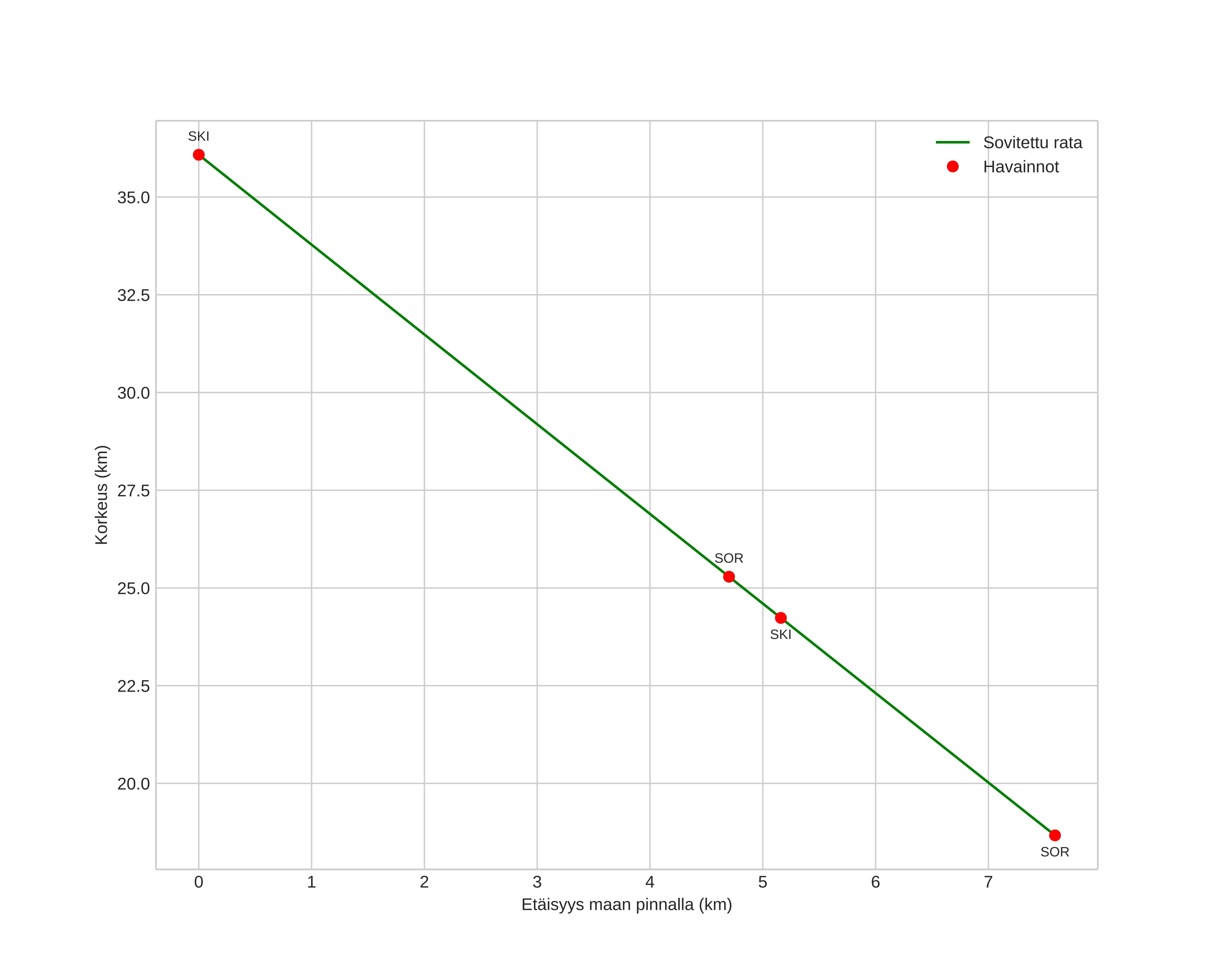
Meteorin ilmakehärata:
Alkukorkeus: 36,1 km
Loppukorkeus: 18,6 km
Alkupiste: 69,908N 18,299E
Loppupiste: 69,954N 18,160E
Suunta: 313,9°
Kallistuskulma: 67,3°
Tulonopeus: 10,9 km/s
position vs time
speed and acceleration