🇳🇴 🇬🇧 🇩🇪 🇨🇿 🇫🇮

Meteor über Finnsnes 2022-10-14 23:17:02 UTC

KML-Datei  |  Interaktive Karte

Die Karte zeigt die Peilungen für den Meteor. Die helleren Linien zeigen die Richtungen von den Beobachtungsorten beim Erscheinen des Meteors, und die dunkleren Linien, wo er zuletzt gesehen wurde. Der blaue Pfeil zeigt die sichtbare Bahn des Meteors.

static map
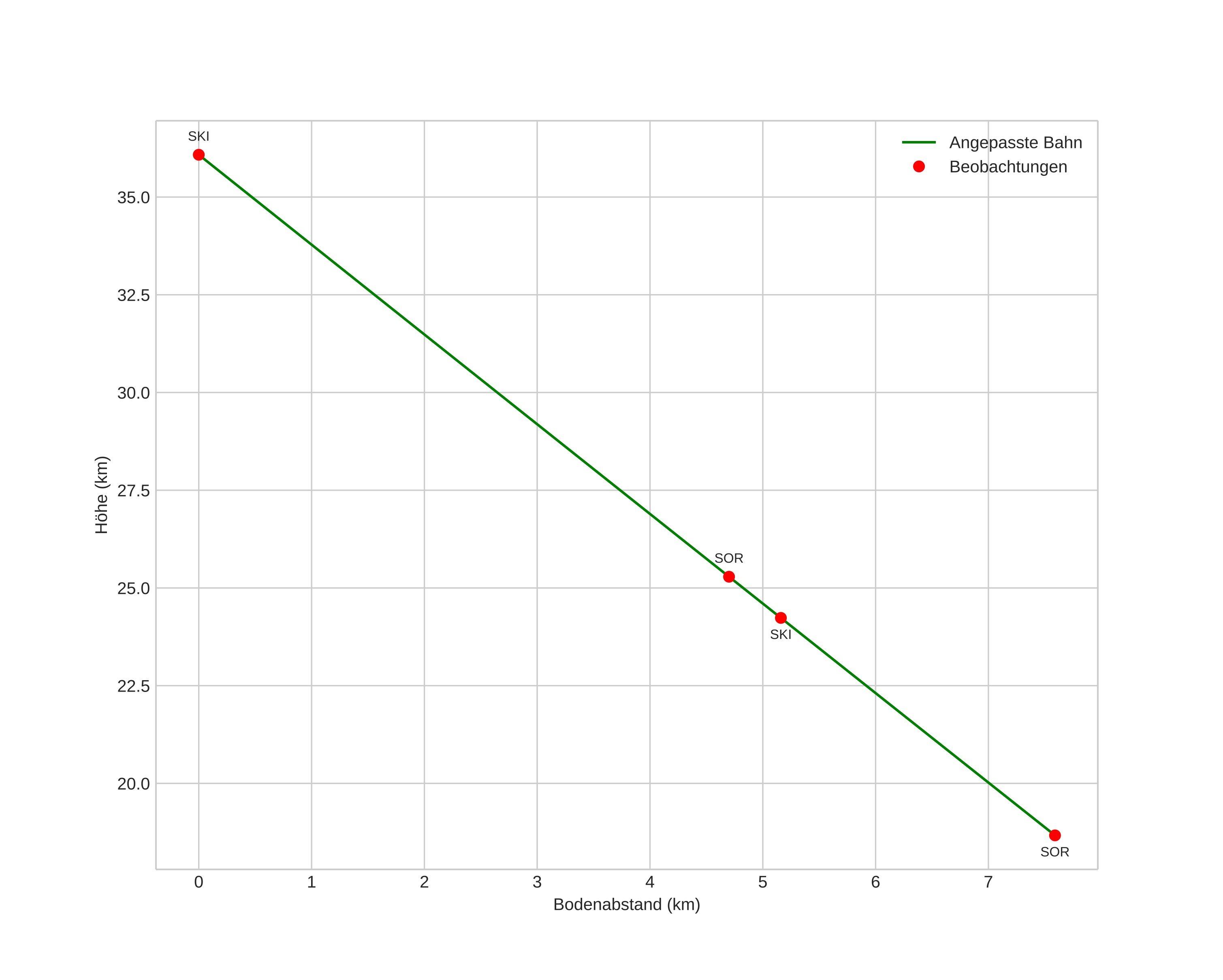
height profile
Atmosphärische Bahn des Meteors:
Anfangshöhe: 36,1 km
Endhöhe: 18,6 km
Startposition: 69,908N 18,299E
Endposition: 69,954N 18,160E
Richtung: 313,9°
Neigungswinkel: 67,3°
Eintrittsgeschwindigkeit: 10,9 km/s
position vs time
speed and acceleration