🇳🇴 🇬🇧 🇩🇪 🇨🇿 🇫🇮

Meteor, poloha: Evenskjer 2022-10-16 20:29:02 UTC

Soubor KML  |  InteraktivnĂ­ mapa

Mapa zobrazuje dráhy meteoru. Světlejší čáry ukazují směry od pozorovacích stanic při objevení se meteoru a tmavší čáry, kde byl naposledy viděn. Modrá šipka značí viditelnou dráhu meteoru.

static map
height profile
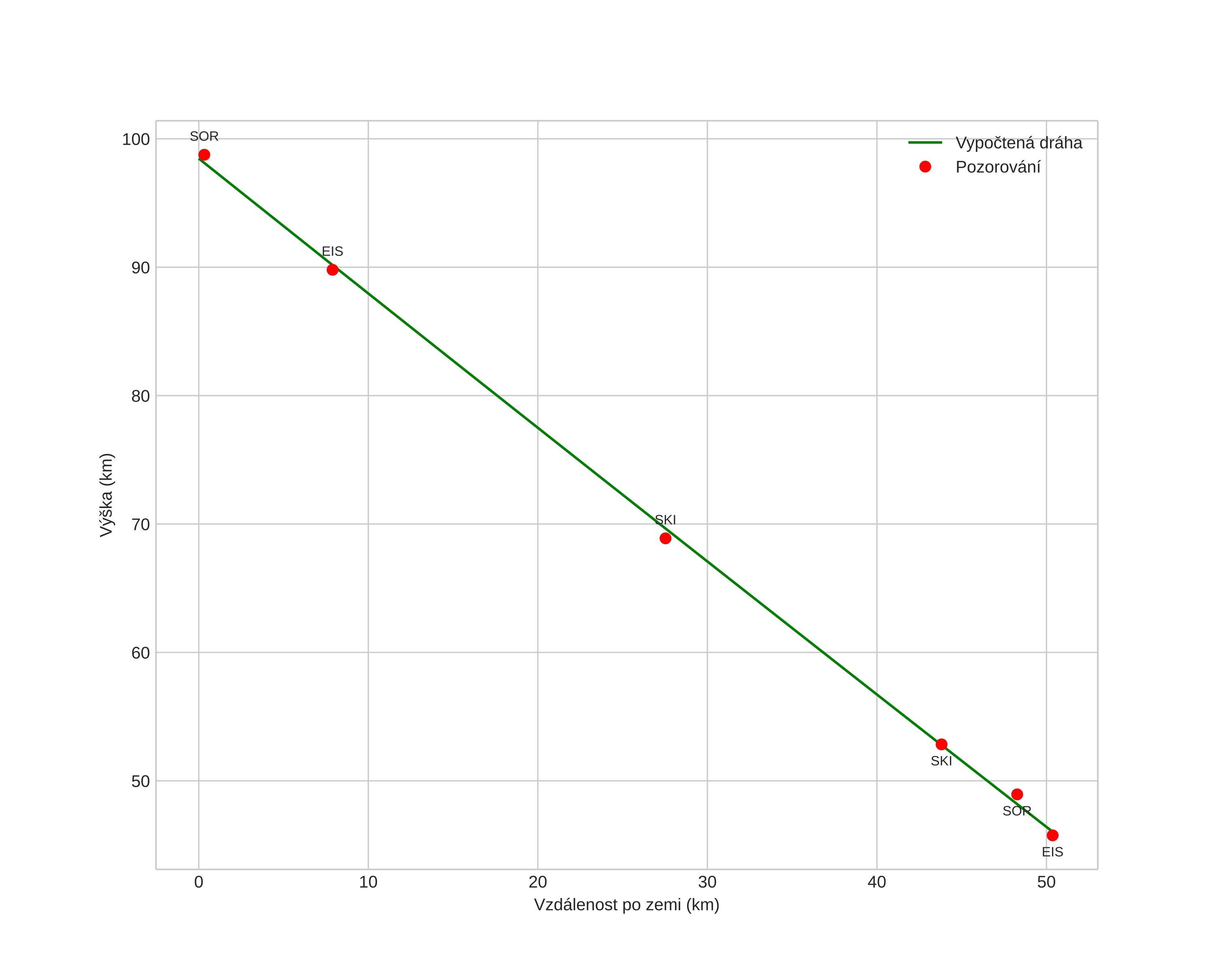
Atmosférická dráha meteoru:
Počáteční výška: 98,4 km
Konečná výška: 47,1 km
Počáteční poloha: 67,891N 16,755E
Konečná poloha: 68,314N 16,518E
Směr: 348,3°
Sklon: 46,8°
VstupnĂ­ rychlost: 20,4 km/s
Rektascenze radiantu: 23:50 (357,5°)
Deklinace radiantu: 20,9°
MeteorickĂ˝ roj: sporadickĂ˝
Elementy dráhy meteoroidu:
Vzdálenost v periheliu: 0,794 AU
Excentricita: 0,725
Sklon dráhy: 9,7°
Délka vzestupného uzlu: 203,1°
Argument perihelia: 239,0°
Střední anomálie: 352,4°
Epocha: 2022 OCT 16 20:29:02
orbit plot

NeinteraktivnĂ­ graf | InteraktivnĂ­ graf

position vs time
speed and acceleration