🇳🇴 🇬🇧 🇩🇪 🇨🇿 🇫🇮

Meteor Evenskjerin yllä 2022-10-16 20:29:02 UTC

KML-tiedosto  |  Interaktiivinen kartta

Kartta näyttää meteorin suuntahavainnot. Vaaleammat viivat näyttävät suunnat havaintoasemilta meteorin ilmestyessä, ja tummemmat viivat näyttävät, missä se viimeksi nähtiin. Sininen nuoli näyttää meteorin näkyvän lennon.

static map
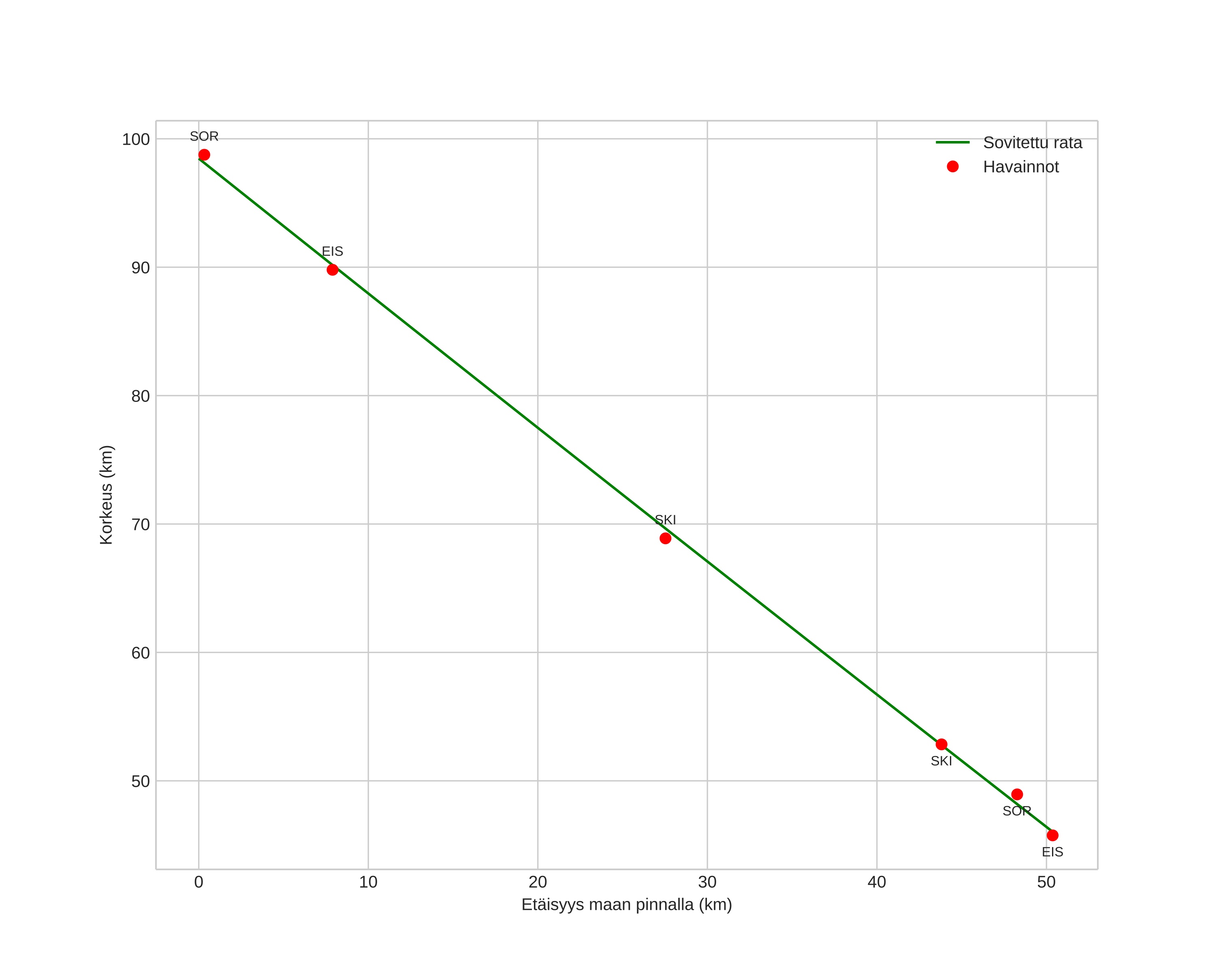
height profile
Meteorin ilmakehärata:
Alkukorkeus: 98,4 km
Loppukorkeus: 47,1 km
Alkupiste: 67,891N 16,755E
Loppupiste: 68,314N 16,518E
Suunta: 348,3°
Kallistuskulma: 46,8°
Tulonopeus: 20,4 km/s
Radiantin R,A,: 23:50 (357,5°)
Radiantin Dekl,: 20,9°
Meteoriparvi: Sporadinen
Meteoroidin rataelementit:
Perihelietäisyys: 0,794 AU
Eksentrisyys: 0,725
Inklinaatio: 9,7°
Nousevan solmun pituus: 203,1°
Perihelin argumentti: 239,0°
Keskianomalia: 352,4°
Epookki: 2022 OCT 16 20:29:02
orbit plot

Ei-interaktiivinen kuvaaja | Interaktiivinen kuvaaja

position vs time
speed and acceleration