🇳🇴 🇬🇧 🇩🇪 🇨🇿 🇫🇮

Meteor, poloha: Skjærhalden 2022-10-17 02:46:31 UTC

Soubor KML  |  InteraktivnĂ­ mapa

Mapa zobrazuje dráhy meteoru. Světlejší čáry ukazují směry od pozorovacích stanic při objevení se meteoru a tmavší čáry, kde byl naposledy viděn. Modrá šipka značí viditelnou dráhu meteoru.

static map
height profile
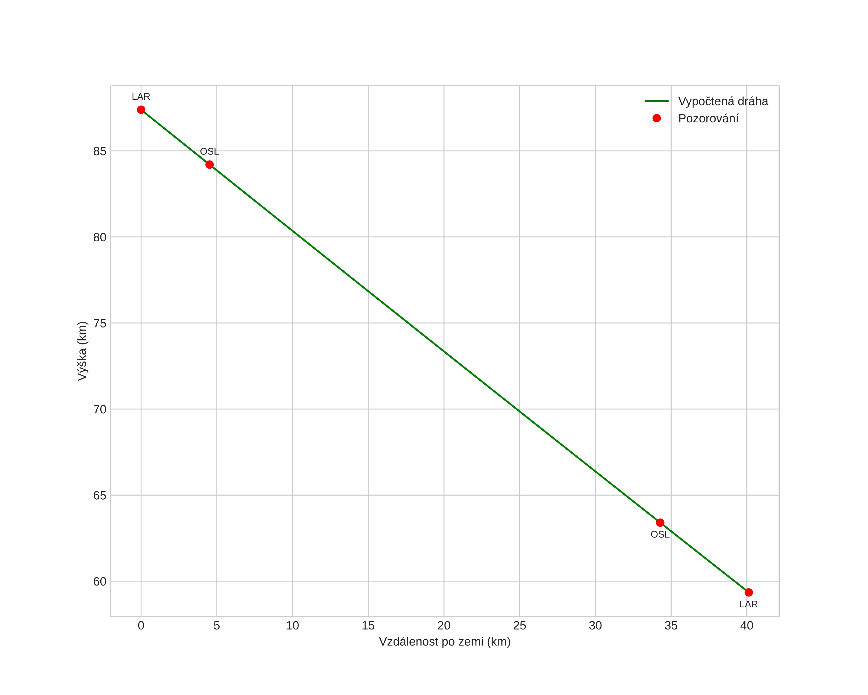
Atmosférická dráha meteoru:
Počáteční výška: 87,6 km
Konečná výška: 59,2 km
Počáteční poloha: 59,227N 10,254E
Konečná poloha: 58,972N 10,748E
Směr: 135,0°
Sklon: 35,4°
VstupnĂ­ rychlost: 18,2 km/s
Rektascenze radiantu: 21:31 (322,8°)
Deklinace radiantu: 46,1°
MeteorickĂ˝ roj: sporadickĂ˝
Elementy dráhy meteoroidu:
Vzdálenost v periheliu: 0,944 AU
Excentricita: 0,576
Sklon dráhy: 19,3°
Délka vzestupného uzlu: 203,4°
Argument perihelia: 211,3°
Střední anomálie: 352,9°
Epocha: 2022 OCT 17 02:46:31
orbit plot

NeinteraktivnĂ­ graf | InteraktivnĂ­ graf

position vs time
speed and acceleration