🇳🇴 🇬🇧 🇩🇪 🇨🇿 🇫🇮

Meteor Skjærhaldenin yllä 2022-10-17 02:46:31 UTC

KML-tiedosto  |  Interaktiivinen kartta

Kartta näyttää meteorin suuntahavainnot. Vaaleammat viivat näyttävät suunnat havaintoasemilta meteorin ilmestyessä, ja tummemmat viivat näyttävät, missä se viimeksi nähtiin. Sininen nuoli näyttää meteorin näkyvän lennon.

static map
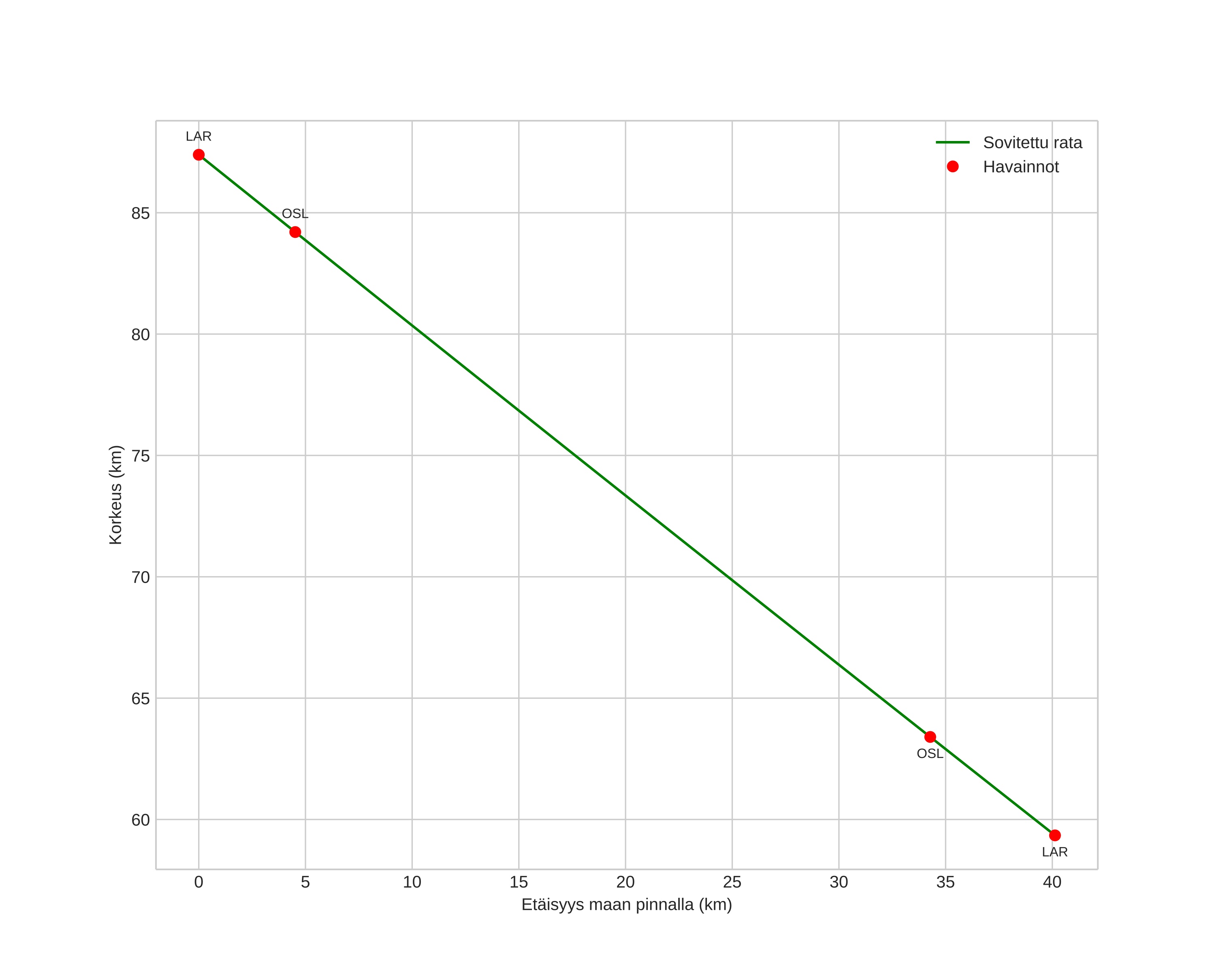
height profile
Meteorin ilmakehärata:
Alkukorkeus: 87,6 km
Loppukorkeus: 59,2 km
Alkupiste: 59,227N 10,254E
Loppupiste: 58,972N 10,748E
Suunta: 135,0°
Kallistuskulma: 35,4°
Tulonopeus: 18,2 km/s
Radiantin R,A,: 21:31 (322,8°)
Radiantin Dekl,: 46,1°
Meteoriparvi: Sporadinen
Meteoroidin rataelementit:
Perihelietäisyys: 0,944 AU
Eksentrisyys: 0,576
Inklinaatio: 19,3°
Nousevan solmun pituus: 203,4°
Perihelin argumentti: 211,3°
Keskianomalia: 352,9°
Epookki: 2022 OCT 17 02:46:31
orbit plot

Ei-interaktiivinen kuvaaja | Interaktiivinen kuvaaja

position vs time
speed and acceleration