🇳🇴 🇬🇧 🇩🇪 🇨🇿 🇫🇮

Meteor über Skjærhalden 2022-10-17 02:46:31 UTC

KML-Datei  |  Interaktive Karte

Die Karte zeigt die Peilungen für den Meteor. Die helleren Linien zeigen die Richtungen von den Beobachtungsorten beim Erscheinen des Meteors, und die dunkleren Linien, wo er zuletzt gesehen wurde. Der blaue Pfeil zeigt die sichtbare Bahn des Meteors.

static map
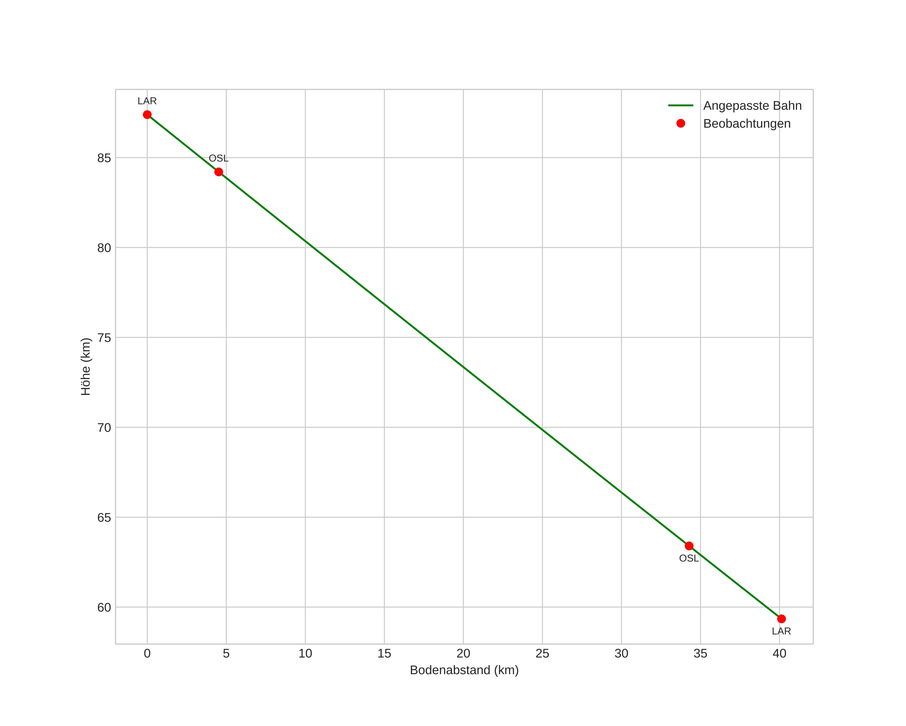
height profile
Atmosphärische Bahn des Meteors:
Anfangshöhe: 87,6 km
Endhöhe: 59,2 km
Startposition: 59,227N 10,254E
Endposition: 58,972N 10,748E
Richtung: 135,0°
Neigungswinkel: 35,4°
Eintrittsgeschwindigkeit: 18,2 km/s
Rektaszension des Radianten: 21:31 (322,8°)
Deklination des Radianten: 46,1°
Meteorstrom: sporadisch
Bahnelemente des Meteoroiden:
Periheldistanz: 0,944 AU
Exzentrizität: 0,576
Inklination: 19,3°
Länge des aufsteigenden Knotens: 203,4°
Argument des Perihels: 211,3°
Mittlere Anomalie: 352,9°
Epoche: 2022 OCT 17 02:46:31
orbit plot

Nicht-interaktives Diagramm | Interaktives Diagramm

position vs time
speed and acceleration