🇳🇴 🇬🇧 🇩🇪 🇨🇿 🇫🇮

Meteor, poloha: Hansnes 2022-10-20 22:52:20 UTC

Soubor KML  |  InteraktivnĂ­ mapa

Mapa zobrazuje dráhy meteoru. Světlejší čáry ukazují směry od pozorovacích stanic při objevení se meteoru a tmavší čáry, kde byl naposledy viděn. Modrá šipka značí viditelnou dráhu meteoru.

static map
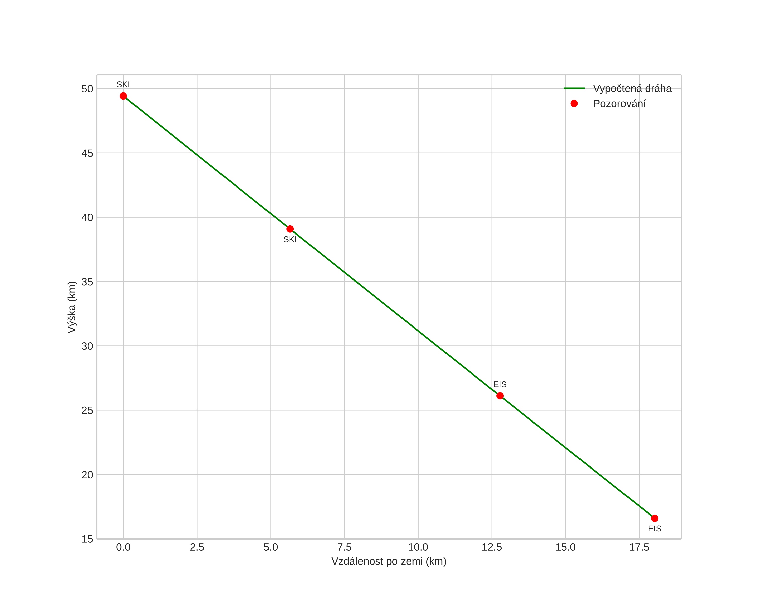
height profile
Atmosférická dráha meteoru:
Počáteční výška: 49,7 km
Konečná výška: 16,8 km
Počáteční poloha: 69,604N 19,879E
Konečná poloha: 69,674N 19,464E
Směr: 296,2°
Sklon: 61,5°
VstupnĂ­ rychlost: 20,3 km/s
Rektascenze radiantu: 04:53 (73,3°)
Deklinace radiantu: 46,4°
MeteorickĂ˝ roj: sporadickĂ˝
Elementy dráhy meteoroidu:
Vzdálenost v periheliu: 0,256 AU
Excentricita: 0,624
Sklon dráhy: 20,6°
Délka vzestupného uzlu: 207,2°
Argument perihelia: 339,0°
Střední anomálie: 246,1°
Epocha: 2022 OCT 20 22:52:20
orbit plot

NeinteraktivnĂ­ graf | InteraktivnĂ­ graf

position vs time
speed and acceleration