🇳🇴 🇬🇧 🇩🇪 🇨🇿 🇫🇮

Meteor über Hansnes 2022-10-20 22:52:20 UTC

KML-Datei  |  Interaktive Karte

Die Karte zeigt die Peilungen für den Meteor. Die helleren Linien zeigen die Richtungen von den Beobachtungsorten beim Erscheinen des Meteors, und die dunkleren Linien, wo er zuletzt gesehen wurde. Der blaue Pfeil zeigt die sichtbare Bahn des Meteors.

static map
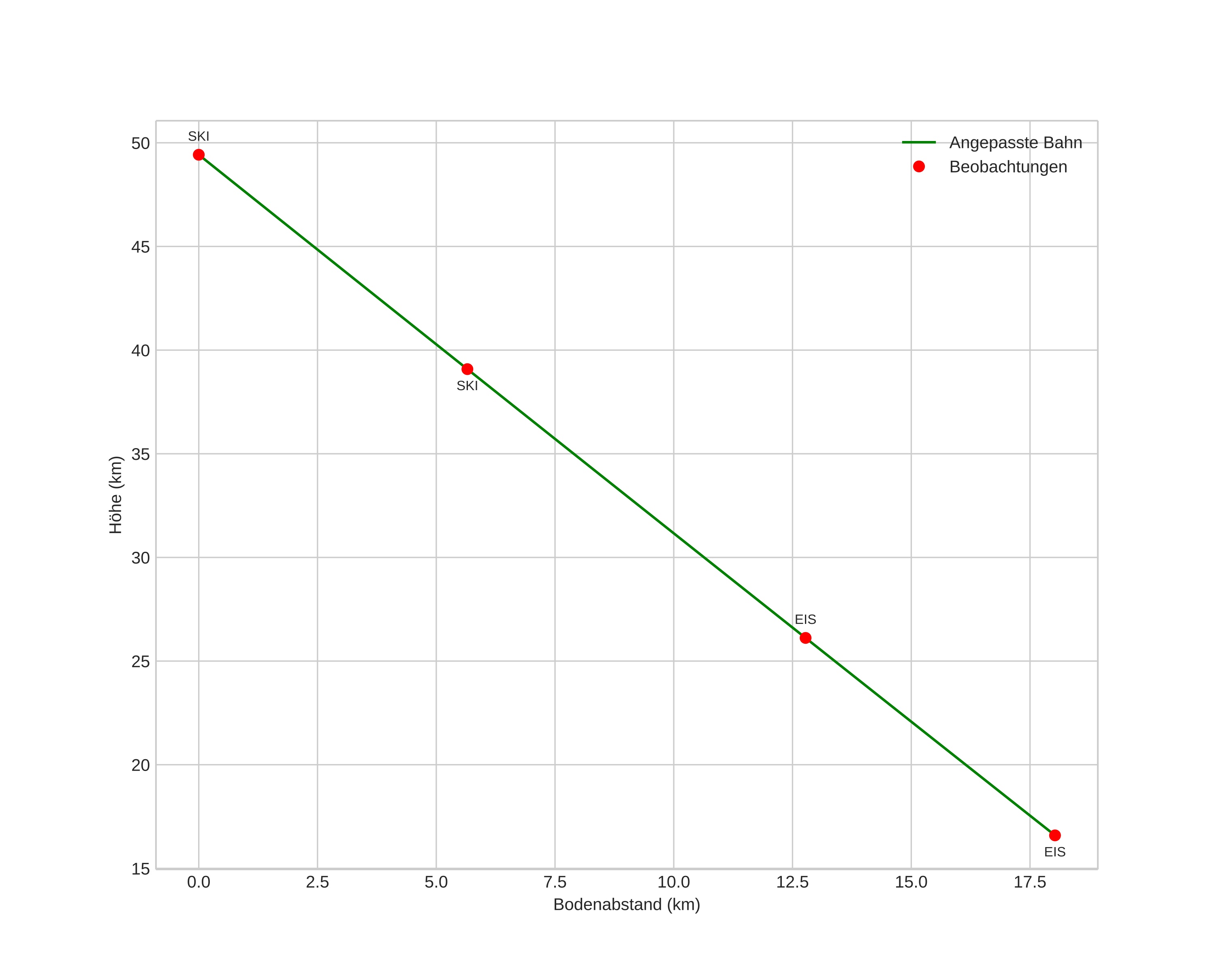
height profile
Atmosphärische Bahn des Meteors:
Anfangshöhe: 49,7 km
Endhöhe: 16,8 km
Startposition: 69,604N 19,879E
Endposition: 69,674N 19,464E
Richtung: 296,2°
Neigungswinkel: 61,5°
Eintrittsgeschwindigkeit: 20,3 km/s
Rektaszension des Radianten: 04:53 (73,3°)
Deklination des Radianten: 46,4°
Meteorstrom: sporadisch
Bahnelemente des Meteoroiden:
Periheldistanz: 0,256 AU
Exzentrizität: 0,624
Inklination: 20,6°
Länge des aufsteigenden Knotens: 207,2°
Argument des Perihels: 339,0°
Mittlere Anomalie: 246,1°
Epoche: 2022 OCT 20 22:52:20
orbit plot

Nicht-interaktives Diagramm | Interaktives Diagramm

position vs time
speed and acceleration