🇳🇴 🇬🇧 🇩🇪 🇨🇿 🇫🇮

Meteor Hansnesin yllä 2022-10-20 22:52:20 UTC

KML-tiedosto  |  Interaktiivinen kartta

Kartta näyttää meteorin suuntahavainnot. Vaaleammat viivat näyttävät suunnat havaintoasemilta meteorin ilmestyessä, ja tummemmat viivat näyttävät, missä se viimeksi nähtiin. Sininen nuoli näyttää meteorin näkyvän lennon.

static map
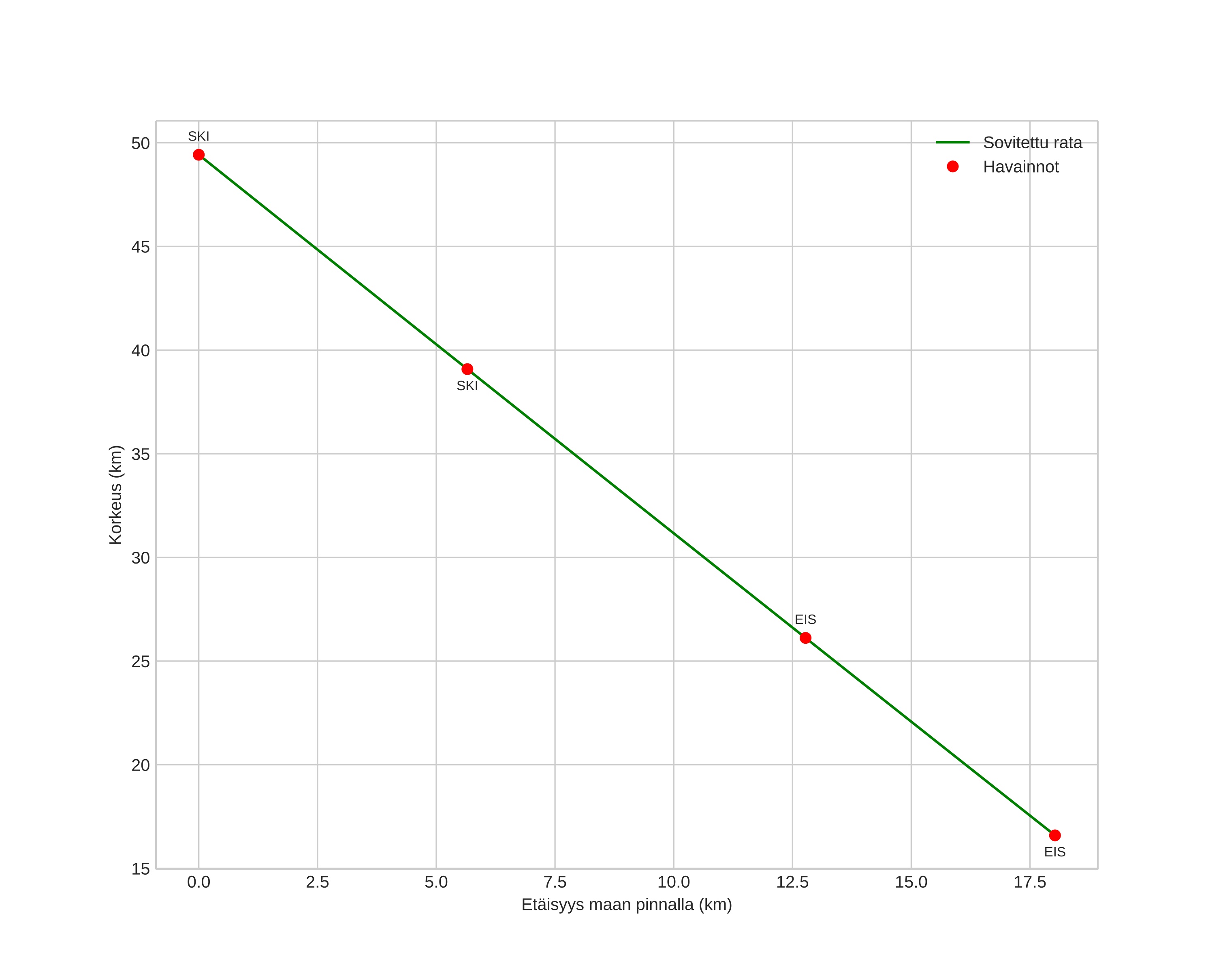
height profile
Meteorin ilmakehärata:
Alkukorkeus: 49,7 km
Loppukorkeus: 16,8 km
Alkupiste: 69,604N 19,879E
Loppupiste: 69,674N 19,464E
Suunta: 296,2°
Kallistuskulma: 61,5°
Tulonopeus: 20,3 km/s
Radiantin R,A,: 04:53 (73,3°)
Radiantin Dekl,: 46,4°
Meteoriparvi: Sporadinen
Meteoroidin rataelementit:
Perihelietäisyys: 0,256 AU
Eksentrisyys: 0,624
Inklinaatio: 20,6°
Nousevan solmun pituus: 207,2°
Perihelin argumentti: 339,0°
Keskianomalia: 246,1°
Epookki: 2022 OCT 20 22:52:20
orbit plot

Ei-interaktiivinen kuvaaja | Interaktiivinen kuvaaja

position vs time
speed and acceleration