🇳🇴 🇬🇧 🇩🇪 🇨🇿 🇫🇮

Meteor, poloha: Hansnes 2022-10-25 00:51:01 UTC

Soubor KML  |  InteraktivnĂ­ mapa

Mapa zobrazuje dráhy meteoru. Světlejší čáry ukazují směry od pozorovacích stanic při objevení se meteoru a tmavší čáry, kde byl naposledy viděn. Modrá šipka značí viditelnou dráhu meteoru.

static map
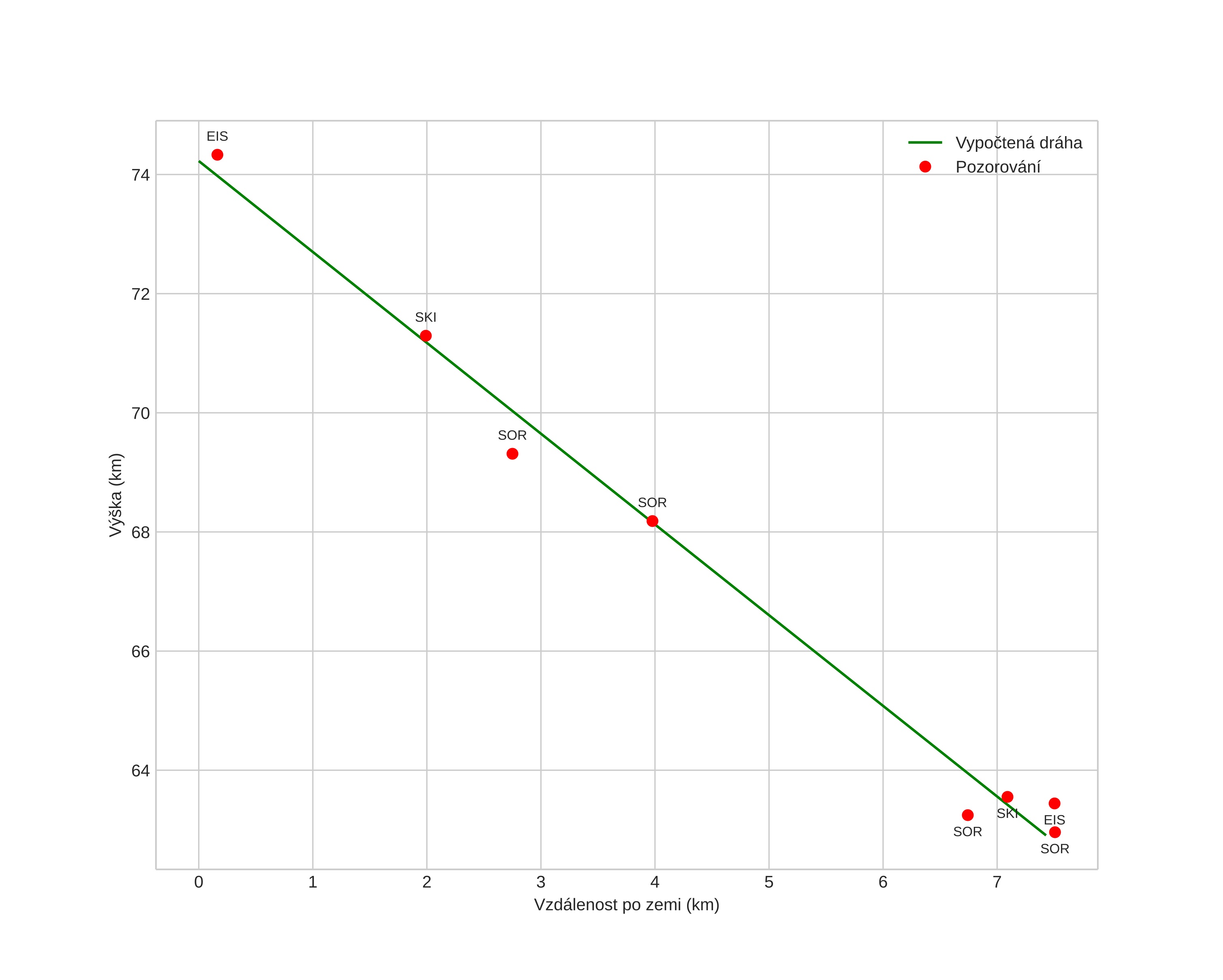
height profile
Atmosférická dráha meteoru:
Počáteční výška: 74,1 km
Konečná výška: 62,8 km
Počáteční poloha: 70,133N 19,661E
Konečná poloha: 70,086N 19,797E
Směr: 135,3°
Sklon: 57,1°
VstupnĂ­ rychlost: 249,1 km/s
Rektascenze radiantu: 21:37 (324,3°)
Deklinace radiantu: 66,9°
MeteorickĂ˝ roj: sporadickĂ˝
Elementy dráhy meteoroidu:
Vzdálenost v periheliu: 0,930 AU
Excentricita: 65,634
Sklon dráhy: 80,7°
Délka vzestupného uzlu: 211,3°
Argument perihelia: 200,9°
Střední anomálie: -1388,5°
Epocha: 2022 OCT 25 00:51:01
orbit plot

NeinteraktivnĂ­ graf | InteraktivnĂ­ graf

position vs time
speed and acceleration