🇳🇴 🇬🇧 🇩🇪 🇨🇿 🇫🇮

Meteor Hansnesin yllä 2022-10-25 00:51:01 UTC

KML-tiedosto  |  Interaktiivinen kartta

Kartta näyttää meteorin suuntahavainnot. Vaaleammat viivat näyttävät suunnat havaintoasemilta meteorin ilmestyessä, ja tummemmat viivat näyttävät, missä se viimeksi nähtiin. Sininen nuoli näyttää meteorin näkyvän lennon.

static map
height profile
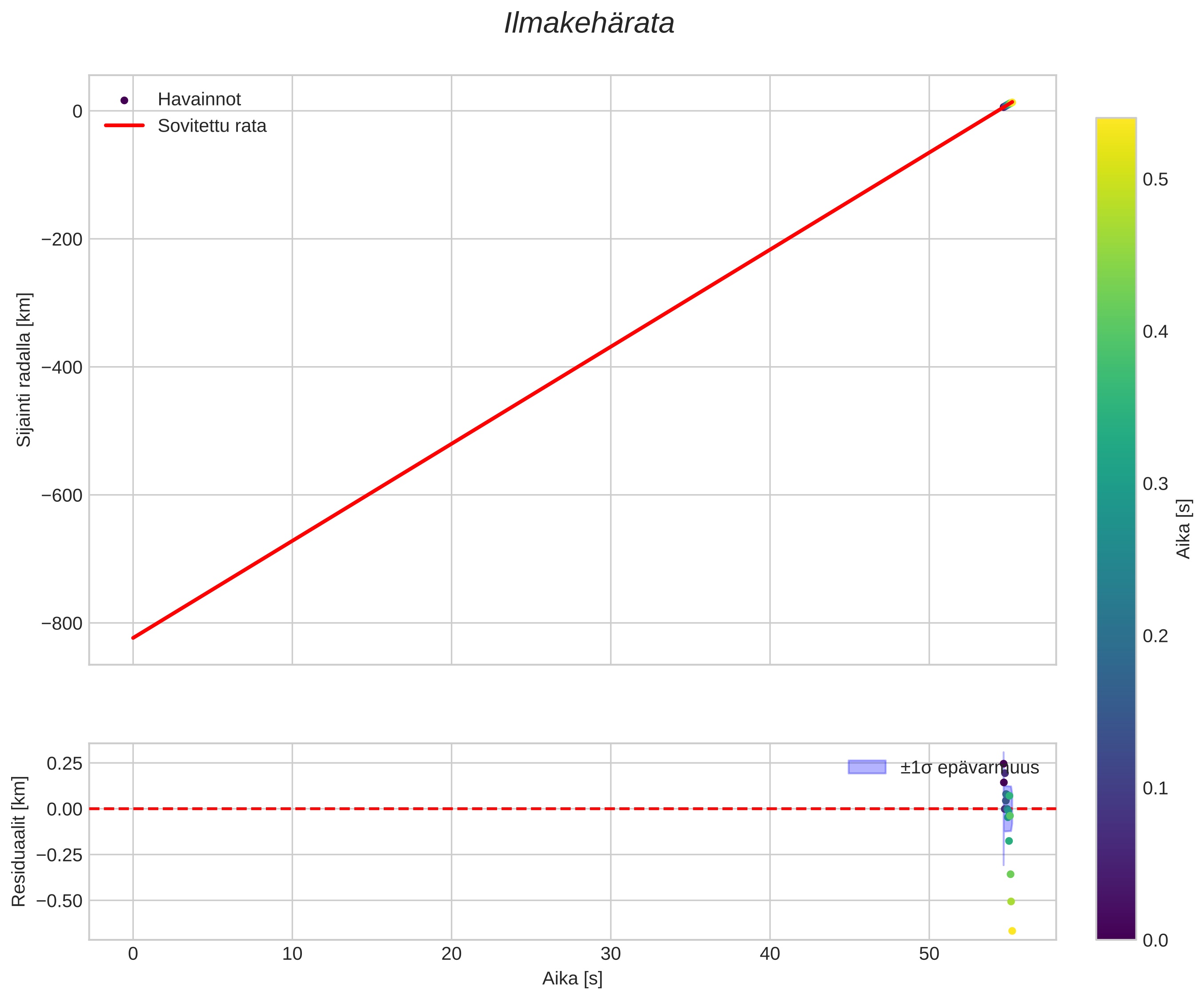
Meteorin ilmakehärata:
Alkukorkeus: 74,1 km
Loppukorkeus: 62,8 km
Alkupiste: 70,133N 19,661E
Loppupiste: 70,086N 19,797E
Suunta: 135,3°
Kallistuskulma: 57,1°
Tulonopeus: 249,1 km/s
Radiantin R,A,: 21:37 (324,3°)
Radiantin Dekl,: 66,9°
Meteoriparvi: Sporadinen
Meteoroidin rataelementit:
Perihelietäisyys: 0,930 AU
Eksentrisyys: 65,634
Inklinaatio: 80,7°
Nousevan solmun pituus: 211,3°
Perihelin argumentti: 200,9°
Keskianomalia: -1388,5°
Epookki: 2022 OCT 25 00:51:01
orbit plot

Ei-interaktiivinen kuvaaja | Interaktiivinen kuvaaja

position vs time
speed and acceleration