🇳🇴 🇬🇧 🇩🇪 🇨🇿 🇫🇮

Meteor, poloha: Prestfoss 2022-10-30 00:16:09 UTC

Soubor KML  |  InteraktivnĂ­ mapa

Mapa zobrazuje dráhy meteoru. Světlejší čáry ukazují směry od pozorovacích stanic při objevení se meteoru a tmavší čáry, kde byl naposledy viděn. Modrá šipka značí viditelnou dráhu meteoru.

static map
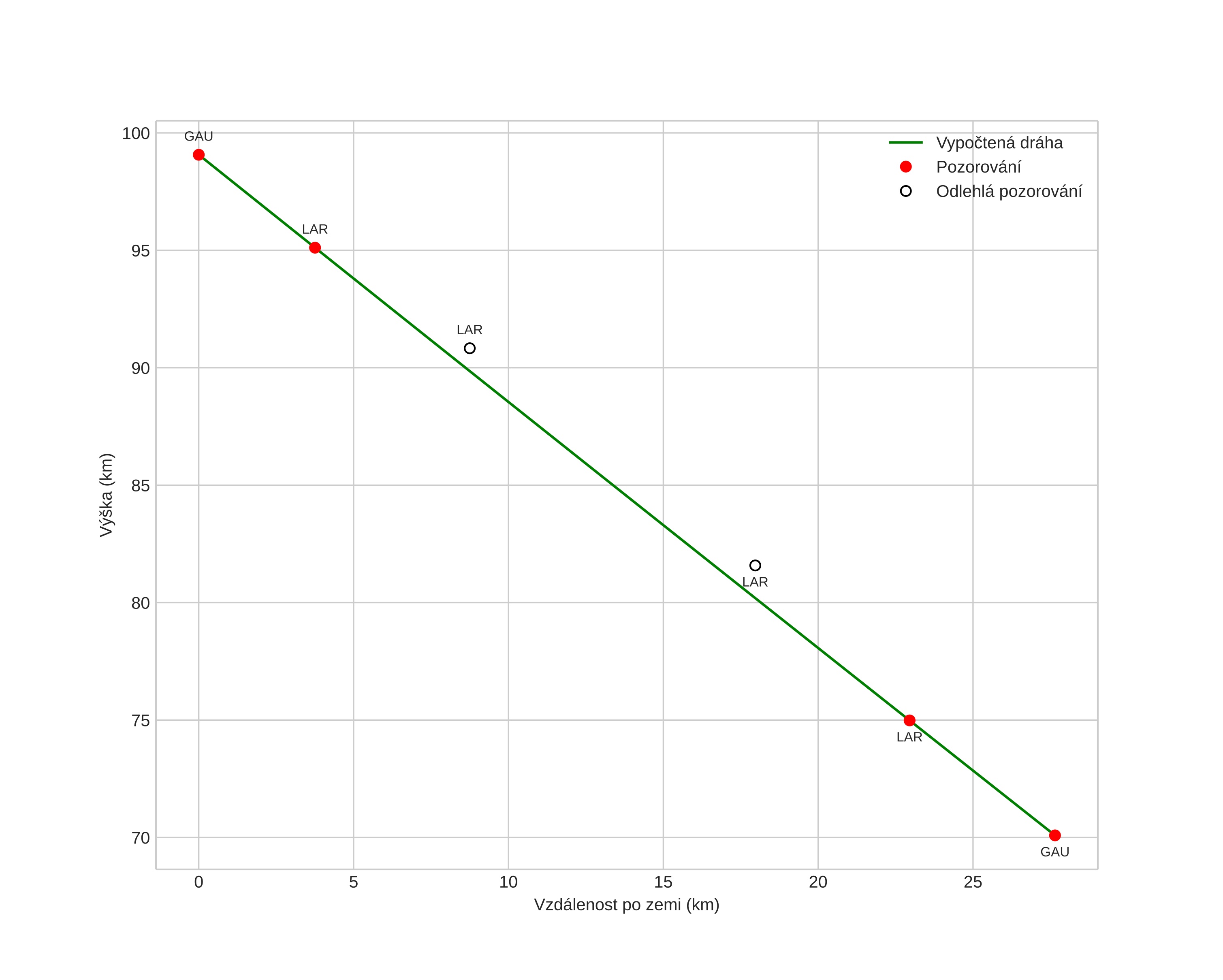
height profile
Atmosférická dráha meteoru:
Počáteční výška: 99,1 km
Konečná výška: 70,9 km
Počáteční poloha: 59,771N 9,601E
Konečná poloha: 60,012N 9,609E
Směr: 0,9°
Sklon: 46,5°
VstupnĂ­ rychlost: 33,1 km/s
Rektascenze radiantu: 03:21 (50,5°)
Deklinace radiantu: 14,7°
MeteorickĂ˝ roj: SevernĂ­ Tauridy
Elementy dráhy meteoroidu:
Vzdálenost v periheliu: 0,278 AU
Excentricita: 0,879
Sklon dráhy: 5,3°
Délka vzestupného uzlu: 36,3°
Argument perihelia: 122,7°
Střední anomálie: 348,6°
Epocha: 2022 OCT 30 00:16:09
orbit plot

NeinteraktivnĂ­ graf | InteraktivnĂ­ graf

position vs time
speed and acceleration

Larvik (LAR) cam1


gnomonic
Videa
• Gnomonická
• Gnomonická se souřadnicemi
• Původní
• Původní se souřadnicemi
Obrázky
• Gnomonická
• Gnomonická se souřadnicemi
• Původní
• Původní se souřadnicemi
Textové soubory
• Detekce
• Pozorování
• Souřadnice
• Chybová hlášení
• Protokol
Jasnost