🇳🇴 🇬🇧 🇩🇪 🇨🇿 🇫🇮

Meteor über Prestfoss 2022-10-30 00:16:09 UTC

KML-Datei  |  Interaktive Karte

Die Karte zeigt die Peilungen für den Meteor. Die helleren Linien zeigen die Richtungen von den Beobachtungsorten beim Erscheinen des Meteors, und die dunkleren Linien, wo er zuletzt gesehen wurde. Der blaue Pfeil zeigt die sichtbare Bahn des Meteors.

static map
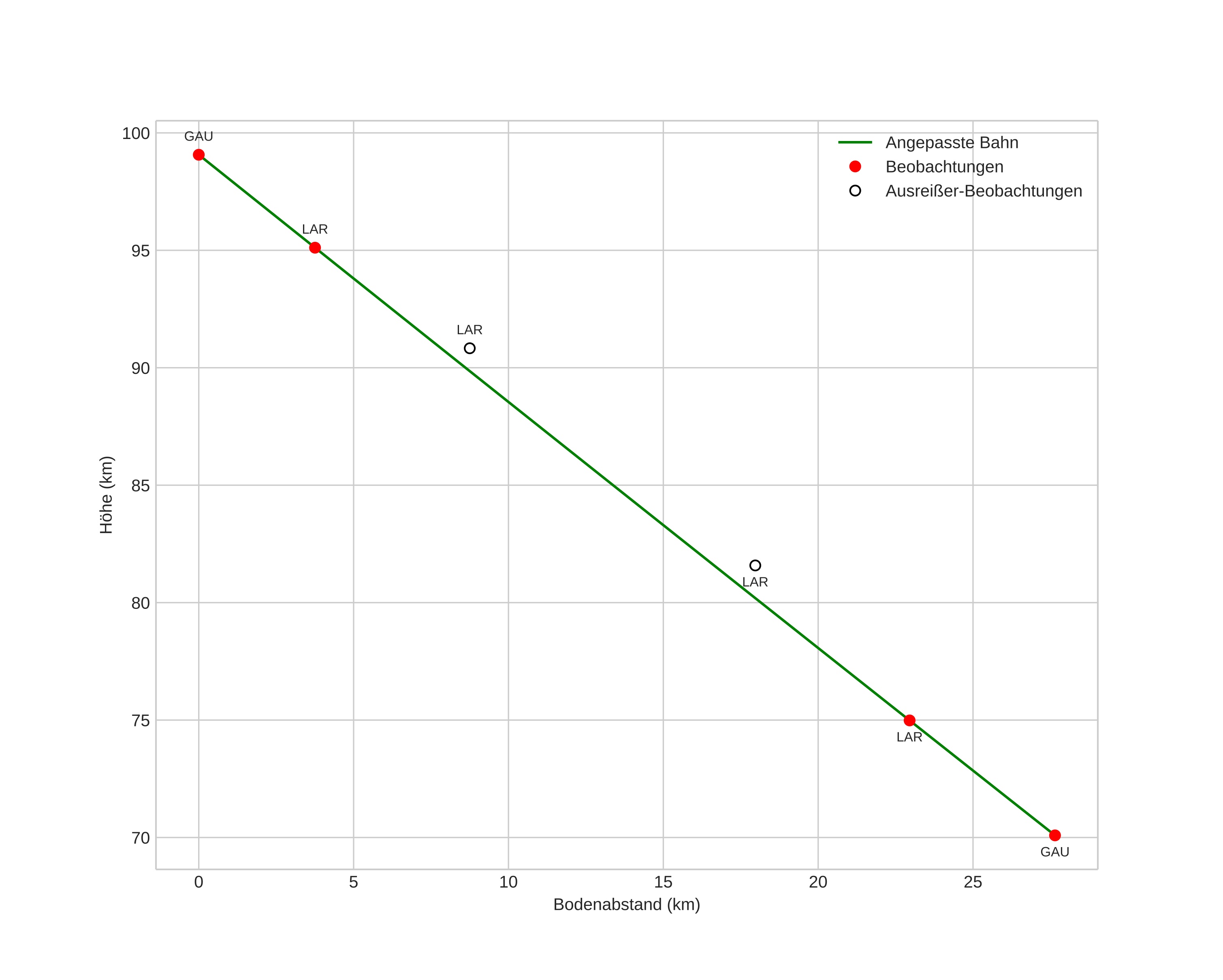
height profile
Atmosphärische Bahn des Meteors:
Anfangshöhe: 99,1 km
Endhöhe: 70,9 km
Startposition: 59,771N 9,601E
Endposition: 60,012N 9,609E
Richtung: 0,9°
Neigungswinkel: 46,5°
Eintrittsgeschwindigkeit: 33,1 km/s
Rektaszension des Radianten: 03:21 (50,5°)
Deklination des Radianten: 14,7°
Meteorstrom: Nördliche Tauriden
Bahnelemente des Meteoroiden:
Periheldistanz: 0,278 AU
Exzentrizität: 0,879
Inklination: 5,3°
Länge des aufsteigenden Knotens: 36,3°
Argument des Perihels: 122,7°
Mittlere Anomalie: 348,6°
Epoche: 2022 OCT 30 00:16:09
orbit plot

Nicht-interaktives Diagramm | Interaktives Diagramm

position vs time
speed and acceleration

Larvik (LAR) cam1


gnomonic
Videos
• Gnomonisch
• Gnomonisch mit Koordinaten
• Original
• Original mit Koordinaten
Bilder
• Gnomonisch
• Gnomonisch mit Koordinaten
• Original
• Original mit Koordinaten
Textdateien
• Erkennung
• Beobachtung
• Koordinaten
• Fehlermeldungen
• Protokoll
Helligkeit