🇳🇴 🇬🇧 🇩🇪 🇨🇿 🇫🇮

Meteor Prestfossin yllä 2022-10-30 00:16:09 UTC

KML-tiedosto  |  Interaktiivinen kartta

Kartta näyttää meteorin suuntahavainnot. Vaaleammat viivat näyttävät suunnat havaintoasemilta meteorin ilmestyessä, ja tummemmat viivat näyttävät, missä se viimeksi nähtiin. Sininen nuoli näyttää meteorin näkyvän lennon.

static map
height profile
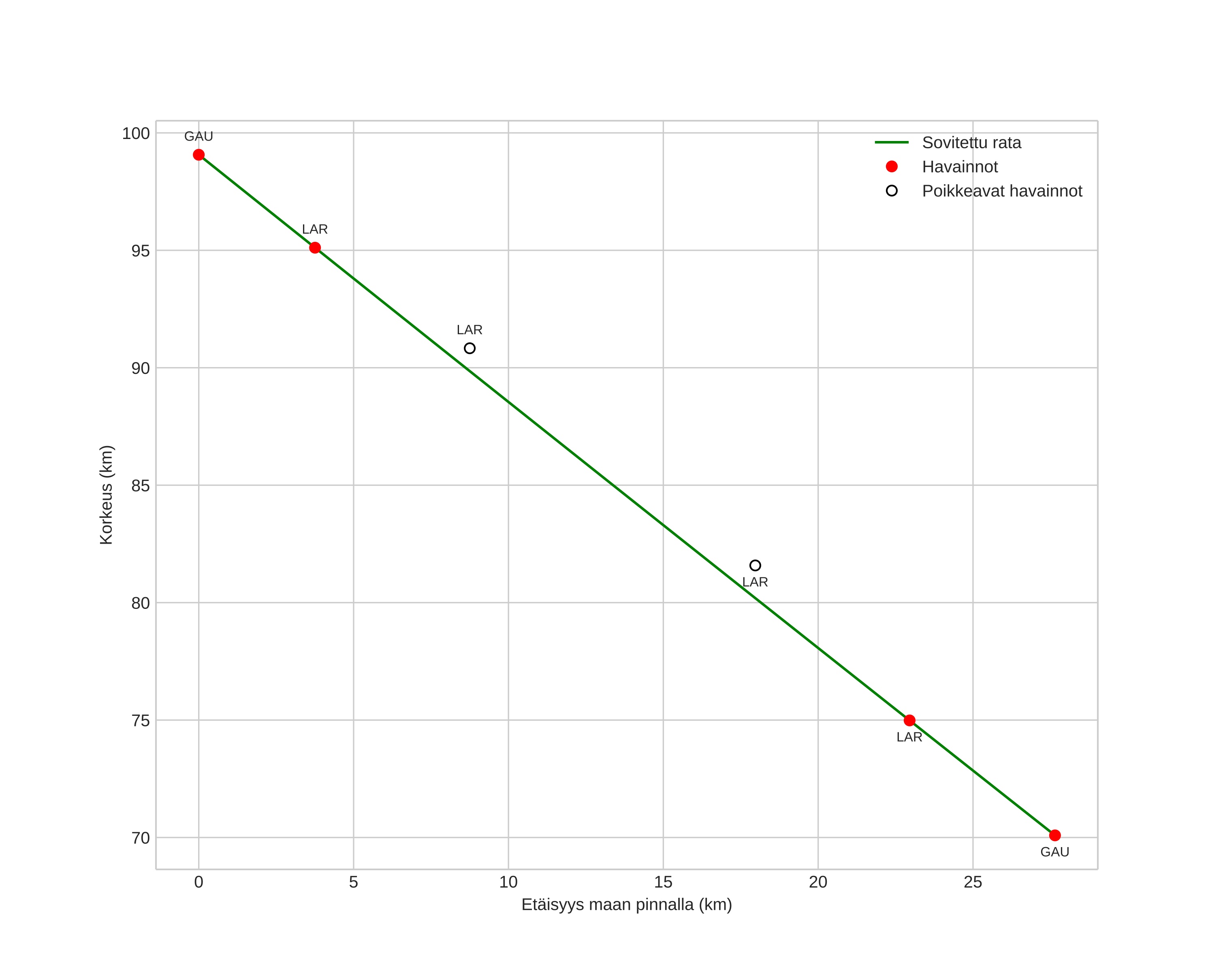
Meteorin ilmakehärata:
Alkukorkeus: 99,1 km
Loppukorkeus: 70,9 km
Alkupiste: 59,771N 9,601E
Loppupiste: 60,012N 9,609E
Suunta: 0,9°
Kallistuskulma: 46,5°
Tulonopeus: 33,1 km/s
Radiantin R,A,: 03:21 (50,5°)
Radiantin Dekl,: 14,7°
Meteoriparvi: Pohjoiset tauridit
Meteoroidin rataelementit:
Perihelietäisyys: 0,278 AU
Eksentrisyys: 0,879
Inklinaatio: 5,3°
Nousevan solmun pituus: 36,3°
Perihelin argumentti: 122,7°
Keskianomalia: 348,6°
Epookki: 2022 OCT 30 00:16:09
orbit plot

Ei-interaktiivinen kuvaaja | Interaktiivinen kuvaaja

position vs time
speed and acceleration

Larvik (LAR) cam1


gnomonic
Videot:
• Gnomoninen
• Gnomoninen koordinaateilla
• Alkuperäinen
• Alkuperäinen koordinaateilla
Kuvat:
• Gnomoninen
• Gnomoninen koordinaateilla
• Alkuperäinen
• Alkuperäinen koordinaateilla
Tekstitiedostot:
• Havaintoraportti
• Observaatio
• Koordinaatit
• Virheilmoitukset
• Loki
Kirkkaus