🇳🇴 🇬🇧 🇩🇪 🇨🇿 🇫🇮

Meteor, poloha: Røst 2022-11-03 16:22:15 UTC

Soubor KML  |  InteraktivnĂ­ mapa

Mapa zobrazuje dráhy meteoru. Světlejší čáry ukazují směry od pozorovacích stanic při objevení se meteoru a tmavší čáry, kde byl naposledy viděn. Modrá šipka značí viditelnou dráhu meteoru.

static map
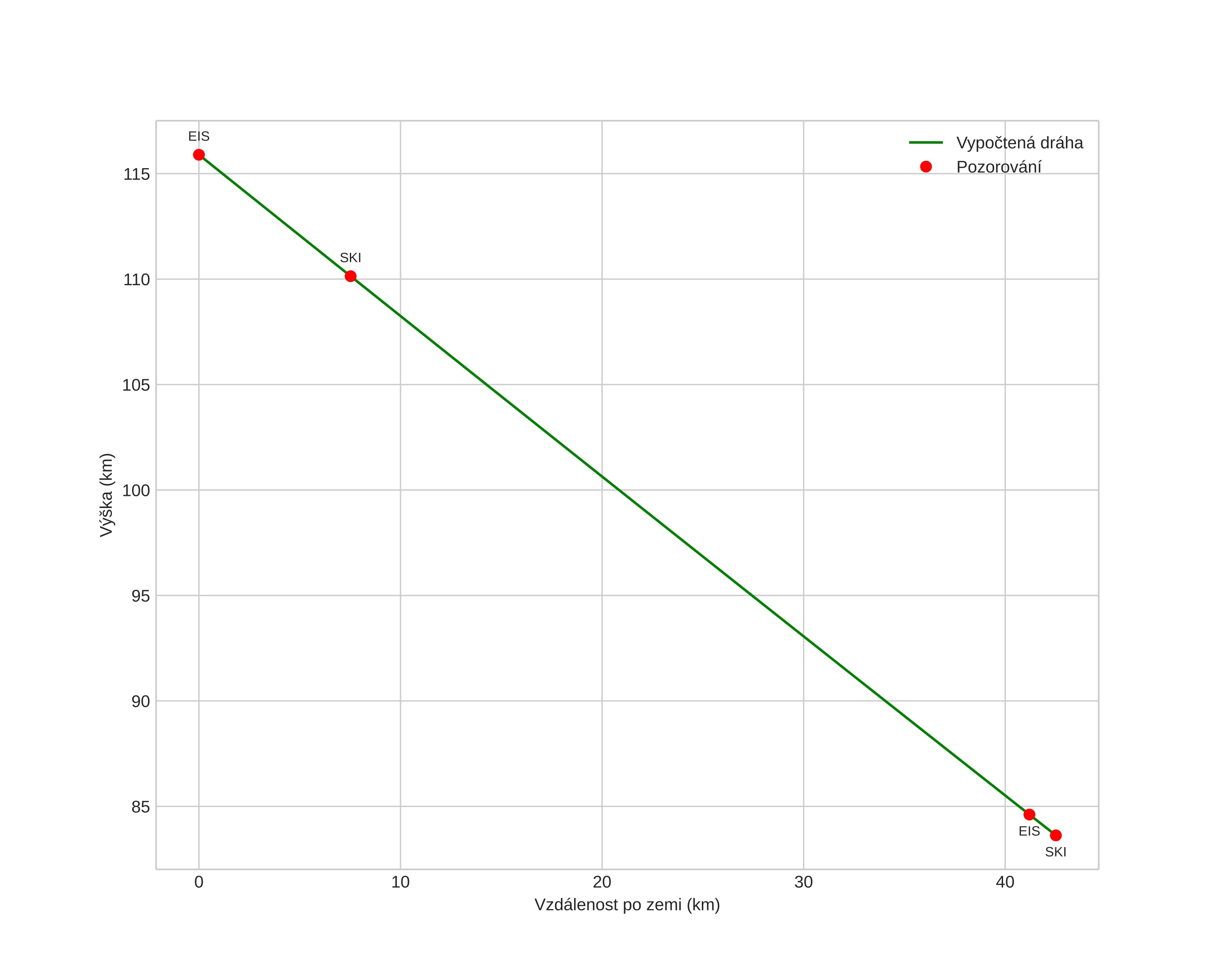
height profile
Atmosférická dráha meteoru:
Počáteční výška: 115,9 km
Konečná výška: 83,6 km
Počáteční poloha: 70,352N 11,007E
Konečná poloha: 69,971N 11,122E
Směr: 174,1°
Sklon: 37,2°
VstupnĂ­ rychlost: 73,0 km/s
Rektascenze radiantu: 08:30 (127,7°)
Deklinace radiantu: 56,5°
MeteorickĂ˝ roj: sporadickĂ˝
Elementy dráhy meteoroidu:
Vzdálenost v periheliu: 0,917 AU
Excentricita: 2,013
Sklon dráhy: 121,2°
Délka vzestupného uzlu: 220,9°
Argument perihelia: 207,5°
Střední anomálie: -17,0°
Epocha: 2022 NOV 03 16:22:15
orbit plot

NeinteraktivnĂ­ graf | InteraktivnĂ­ graf

position vs time
speed and acceleration