🇳🇴 🇬🇧 🇩🇪 🇨🇿 🇫🇮

Meteor Røstin yllä 2022-11-03 16:22:15 UTC

KML-tiedosto  |  Interaktiivinen kartta

Kartta näyttää meteorin suuntahavainnot. Vaaleammat viivat näyttävät suunnat havaintoasemilta meteorin ilmestyessä, ja tummemmat viivat näyttävät, missä se viimeksi nähtiin. Sininen nuoli näyttää meteorin näkyvän lennon.

static map
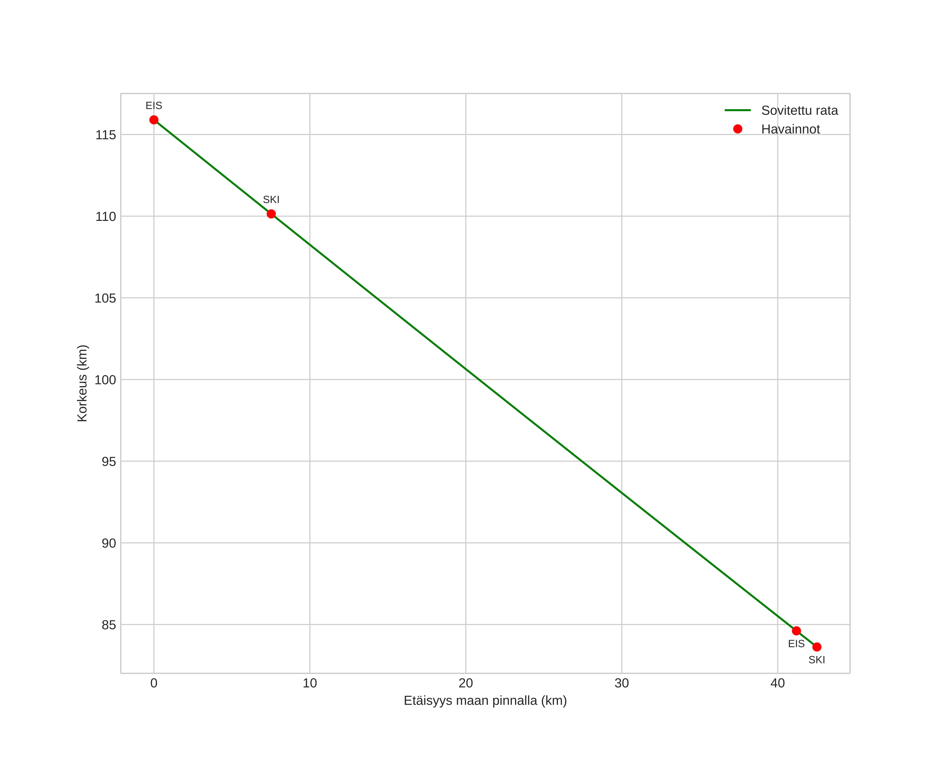
height profile
Meteorin ilmakehärata:
Alkukorkeus: 115,9 km
Loppukorkeus: 83,6 km
Alkupiste: 70,352N 11,007E
Loppupiste: 69,971N 11,122E
Suunta: 174,1°
Kallistuskulma: 37,2°
Tulonopeus: 73,0 km/s
Radiantin R,A,: 08:30 (127,7°)
Radiantin Dekl,: 56,5°
Meteoriparvi: Sporadinen
Meteoroidin rataelementit:
Perihelietäisyys: 0,917 AU
Eksentrisyys: 2,013
Inklinaatio: 121,2°
Nousevan solmun pituus: 220,9°
Perihelin argumentti: 207,5°
Keskianomalia: -17,0°
Epookki: 2022 NOV 03 16:22:15
orbit plot

Ei-interaktiivinen kuvaaja | Interaktiivinen kuvaaja

position vs time
speed and acceleration