🇳🇴 🇬🇧 🇩🇪 🇨🇿 🇫🇮

Meteor, poloha: Andenes 2022-11-08 16:59:59 UTC

Soubor KML  |  InteraktivnĂ­ mapa

Mapa zobrazuje dráhy meteoru. Světlejší čáry ukazují směry od pozorovacích stanic při objevení se meteoru a tmavší čáry, kde byl naposledy viděn. Modrá šipka značí viditelnou dráhu meteoru.

static map
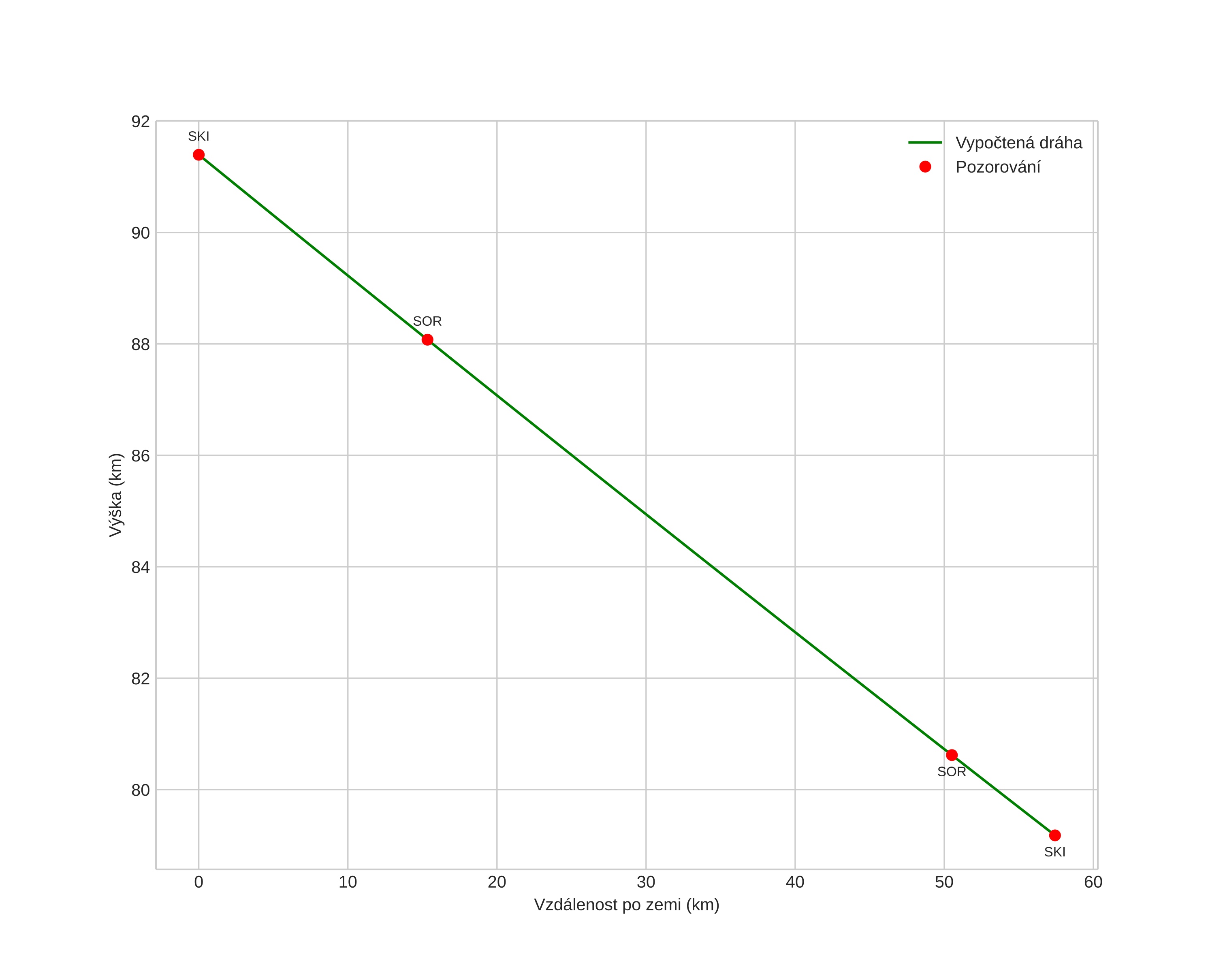
height profile
Atmosférická dráha meteoru:
Počáteční výška: 92,8 km
Konečná výška: 79,0 km
Počáteční poloha: 71,356N 17,794E
Konečná poloha: 71,288N 16,232E
Směr: 263,1°
Sklon: 13,8°
VstupnĂ­ rychlost: 32,2 km/s
Rektascenze radiantu: 03:33 (53,3°)
Deklinace radiantu: 12,6°
MeteorickĂ˝ roj: JiĹľnĂ­ Tauridy
Elementy dráhy meteoroidu:
Vzdálenost v periheliu: 0,394 AU
Excentricita: 0,907
Sklon dráhy: 7,4°
Délka vzestupného uzlu: 46,0°
Argument perihelia: 105,5°
Střední anomálie: 355,4°
Epocha: 2022 NOV 08 16:59:59
orbit plot

NeinteraktivnĂ­ graf | InteraktivnĂ­ graf

position vs time
speed and acceleration