🇳🇴 🇬🇧 🇩🇪 🇨🇿 🇫🇮

Meteor Andenesin yllä 2022-11-08 16:59:59 UTC

KML-tiedosto  |  Interaktiivinen kartta

Kartta näyttää meteorin suuntahavainnot. Vaaleammat viivat näyttävät suunnat havaintoasemilta meteorin ilmestyessä, ja tummemmat viivat näyttävät, missä se viimeksi nähtiin. Sininen nuoli näyttää meteorin näkyvän lennon.

static map
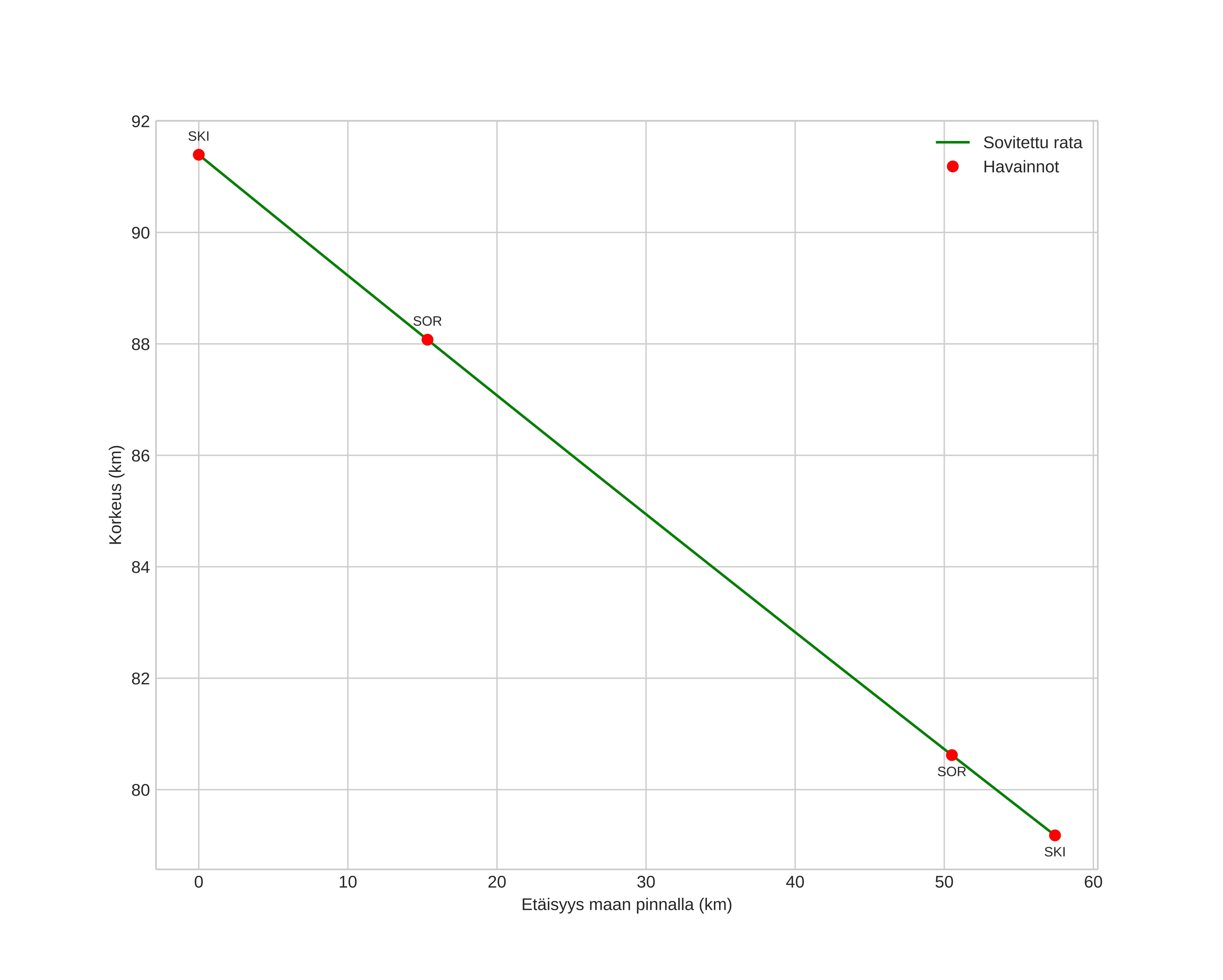
height profile
Meteorin ilmakehärata:
Alkukorkeus: 92,8 km
Loppukorkeus: 79,0 km
Alkupiste: 71,356N 17,794E
Loppupiste: 71,288N 16,232E
Suunta: 263,1°
Kallistuskulma: 13,8°
Tulonopeus: 32,2 km/s
Radiantin R,A,: 03:33 (53,3°)
Radiantin Dekl,: 12,6°
Meteoriparvi: Eteläiset tauridit
Meteoroidin rataelementit:
Perihelietäisyys: 0,394 AU
Eksentrisyys: 0,907
Inklinaatio: 7,4°
Nousevan solmun pituus: 46,0°
Perihelin argumentti: 105,5°
Keskianomalia: 355,4°
Epookki: 2022 NOV 08 16:59:59
orbit plot

Ei-interaktiivinen kuvaaja | Interaktiivinen kuvaaja

position vs time
speed and acceleration