🇳🇴 🇬🇧 🇩🇪 🇨🇿 🇫🇮

Meteor, poloha: Storslett 2022-11-09 01:41:41 UTC

Soubor KML  |  InteraktivnĂ­ mapa

Mapa zobrazuje dráhy meteoru. Světlejší čáry ukazují směry od pozorovacích stanic při objevení se meteoru a tmavší čáry, kde byl naposledy viděn. Modrá šipka značí viditelnou dráhu meteoru.

static map
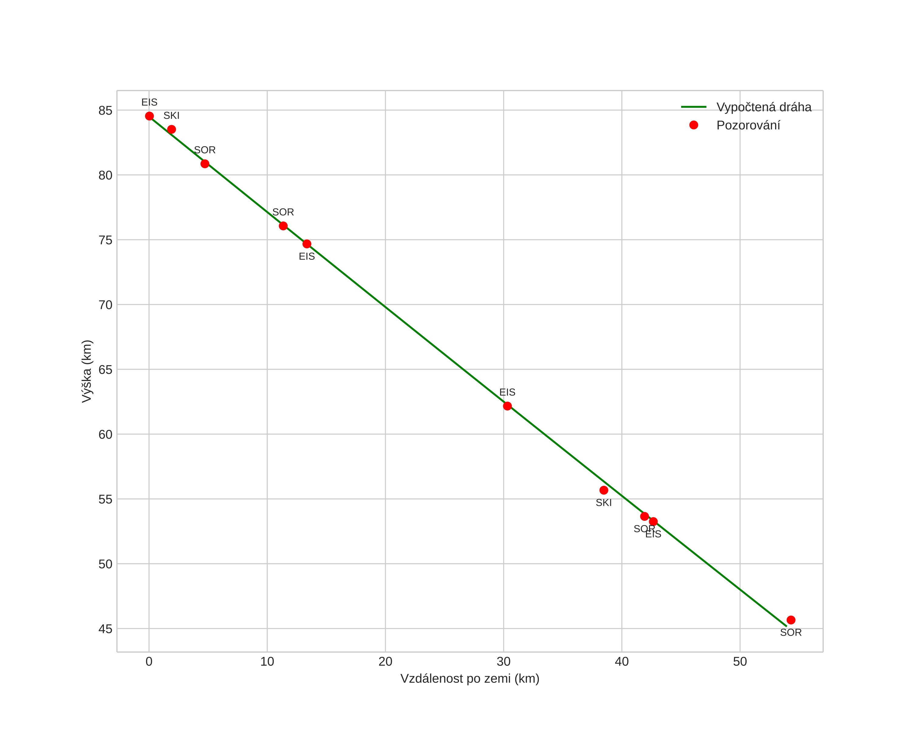
height profile
Atmosférická dráha meteoru:
Počáteční výška: 54,8 km
Konečná výška: 9,6 km
Počáteční poloha: 70,186N 21,313E
Konečná poloha: 69,531N 20,841E
Směr: 194,2°
Sklon: 31,1°
VstupnĂ­ rychlost: 17,9 km/s
Rektascenze radiantu: 17:10 (257,7°)
Deklinace radiantu: 42,4°
MeteorickĂ˝ roj: sporadickĂ˝
Elementy dráhy meteoroidu:
Vzdálenost v periheliu: 0,953 AU
Excentricita: 0,392
Sklon dráhy: 21,4°
Délka vzestupného uzlu: 226,3°
Argument perihelia: 150,0°
Střední anomálie: 12,4°
Epocha: 2022 NOV 09 01:41:41
orbit plot

NeinteraktivnĂ­ graf | InteraktivnĂ­ graf

position vs time
speed and acceleration