🇳🇴 🇬🇧 🇩🇪 🇨🇿 🇫🇮

Meteor Storslettin yllä 2022-11-09 01:41:41 UTC

KML-tiedosto  |  Interaktiivinen kartta

Kartta näyttää meteorin suuntahavainnot. Vaaleammat viivat näyttävät suunnat havaintoasemilta meteorin ilmestyessä, ja tummemmat viivat näyttävät, missä se viimeksi nähtiin. Sininen nuoli näyttää meteorin näkyvän lennon.

static map
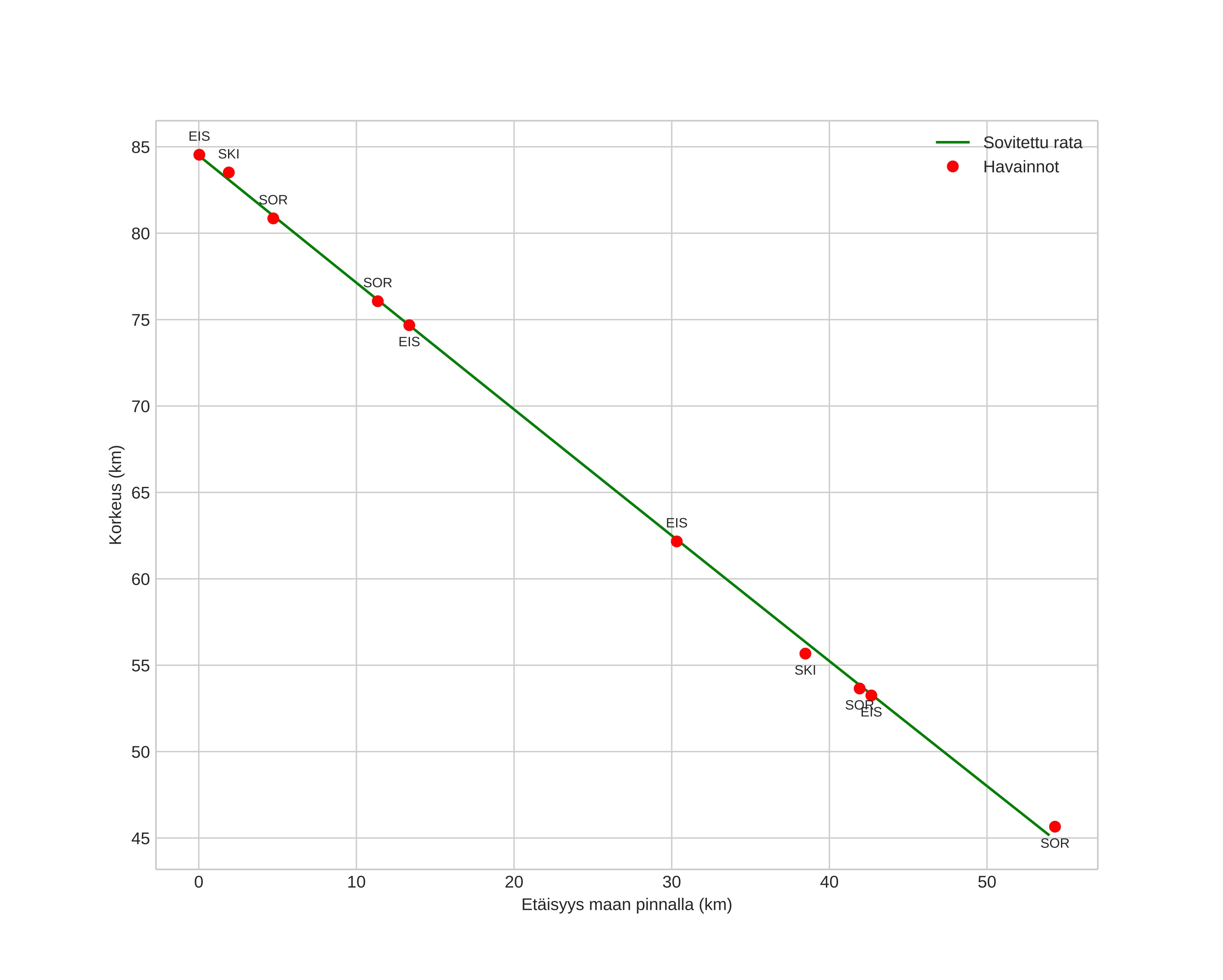
height profile
Meteorin ilmakehärata:
Alkukorkeus: 54,8 km
Loppukorkeus: 9,6 km
Alkupiste: 70,186N 21,313E
Loppupiste: 69,531N 20,841E
Suunta: 194,2°
Kallistuskulma: 31,1°
Tulonopeus: 17,9 km/s
Radiantin R,A,: 17:10 (257,7°)
Radiantin Dekl,: 42,4°
Meteoriparvi: Sporadinen
Meteoroidin rataelementit:
Perihelietäisyys: 0,953 AU
Eksentrisyys: 0,392
Inklinaatio: 21,4°
Nousevan solmun pituus: 226,3°
Perihelin argumentti: 150,0°
Keskianomalia: 12,4°
Epookki: 2022 NOV 09 01:41:41
orbit plot

Ei-interaktiivinen kuvaaja | Interaktiivinen kuvaaja

position vs time
speed and acceleration

Sorreisa (SOR) cam2


gnomonic
Videot:
• Gnomoninen
• Gnomoninen koordinaateilla
• Alkuperäinen
• Alkuperäinen koordinaateilla
Kuvat:
• Gnomoninen
• Gnomoninen koordinaateilla
• Gnomoninen merkinnöillä
• Alkuperäinen
• Alkuperäinen koordinaateilla
• Alkuperäinen maskilla
Tekstitiedostot:
• Havaintoraportti
• Observaatio
• Koordinaatit
• Virheilmoitukset
• Loki
Kirkkaus