🇳🇴 🇬🇧 🇩🇪 🇨🇿 🇫🇮

Meteor, poloha: Tromsø 2022-11-09 19:12:25 UTC

Soubor KML  |  InteraktivnĂ­ mapa

Mapa zobrazuje dráhy meteoru. Světlejší čáry ukazují směry od pozorovacích stanic při objevení se meteoru a tmavší čáry, kde byl naposledy viděn. Modrá šipka značí viditelnou dráhu meteoru.

static map
height profile
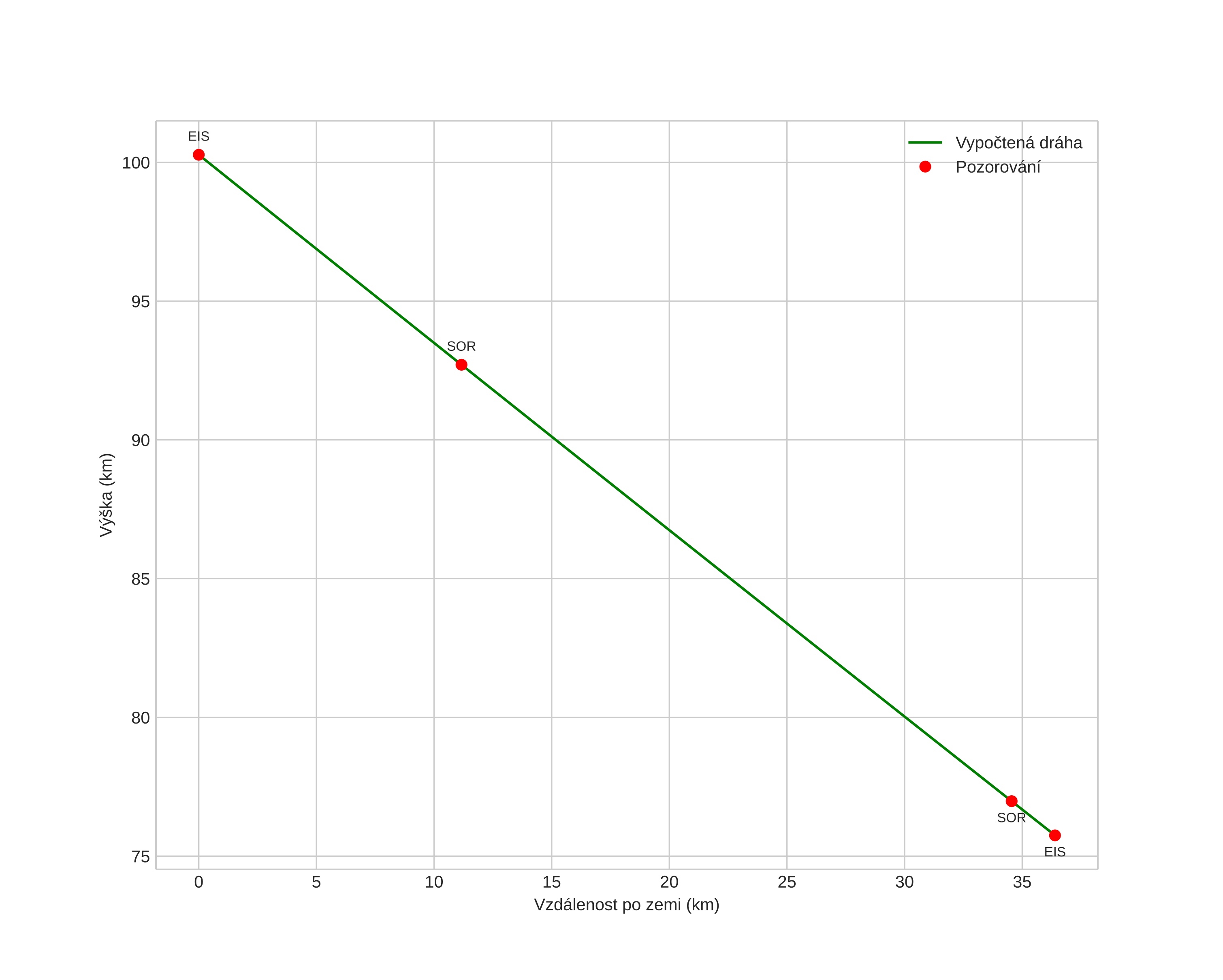
Atmosférická dráha meteoru:
Počáteční výška: 100,2 km
Konečná výška: 76,0 km
Počáteční poloha: 69,729N 19,822E
Konečná poloha: 69,841N 18,929E
Směr: 290,4°
Sklon: 33,6°
VstupnĂ­ rychlost: 31,6 km/s
Rektascenze radiantu: 03:45 (56,3°)
Deklinace radiantu: 22,8°
MeteorickĂ˝ roj: SevernĂ­ Tauridy
Elementy dráhy meteoroidu:
Vzdálenost v periheliu: 0,340 AU
Excentricita: 0,859
Sklon dráhy: 3,6°
Délka vzestupného uzlu: 227,0°
Argument perihelia: 295,0°
Střední anomálie: 349,2°
Epocha: 2022 NOV 09 19:12:25
orbit plot

NeinteraktivnĂ­ graf | InteraktivnĂ­ graf

position vs time
speed and acceleration