🇳🇴 🇬🇧 🇩🇪 🇨🇿 🇫🇮

Meteor über Tromsø 2022-11-09 19:12:25 UTC

KML-Datei  |  Interaktive Karte

Die Karte zeigt die Peilungen für den Meteor. Die helleren Linien zeigen die Richtungen von den Beobachtungsorten beim Erscheinen des Meteors, und die dunkleren Linien, wo er zuletzt gesehen wurde. Der blaue Pfeil zeigt die sichtbare Bahn des Meteors.

static map
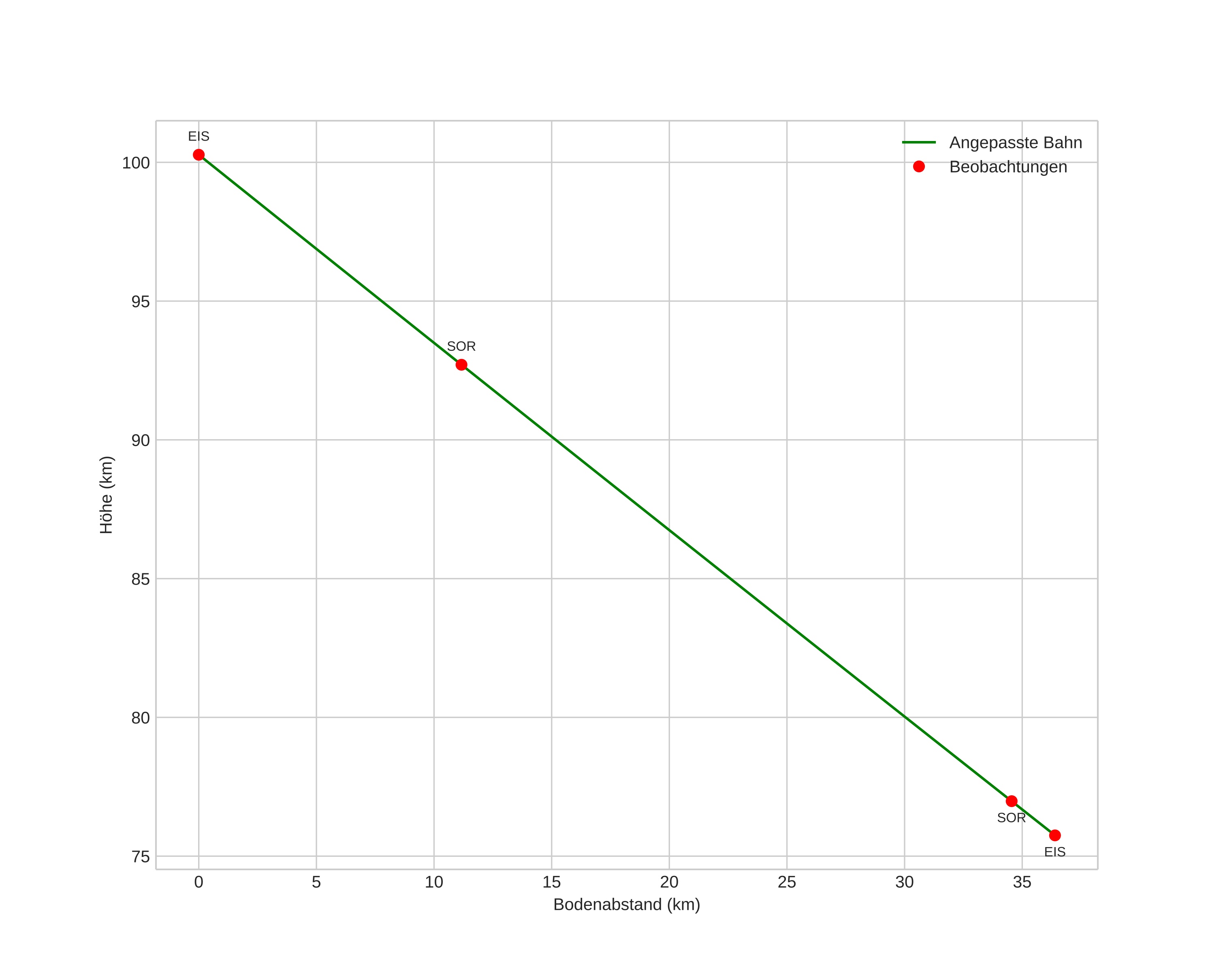
height profile
Atmosphärische Bahn des Meteors:
Anfangshöhe: 100,2 km
Endhöhe: 76,0 km
Startposition: 69,729N 19,822E
Endposition: 69,841N 18,929E
Richtung: 290,4°
Neigungswinkel: 33,6°
Eintrittsgeschwindigkeit: 31,6 km/s
Rektaszension des Radianten: 03:45 (56,3°)
Deklination des Radianten: 22,8°
Meteorstrom: Nördliche Tauriden
Bahnelemente des Meteoroiden:
Periheldistanz: 0,340 AU
Exzentrizität: 0,859
Inklination: 3,6°
Länge des aufsteigenden Knotens: 227,0°
Argument des Perihels: 295,0°
Mittlere Anomalie: 349,2°
Epoche: 2022 NOV 09 19:12:25
orbit plot

Nicht-interaktives Diagramm | Interaktives Diagramm

position vs time
speed and acceleration