🇳🇴 🇬🇧 🇩🇪 🇨🇿 🇫🇮

Meteor Tromsøin yllä 2022-11-09 19:12:25 UTC

KML-tiedosto  |  Interaktiivinen kartta

Kartta näyttää meteorin suuntahavainnot. Vaaleammat viivat näyttävät suunnat havaintoasemilta meteorin ilmestyessä, ja tummemmat viivat näyttävät, missä se viimeksi nähtiin. Sininen nuoli näyttää meteorin näkyvän lennon.

static map
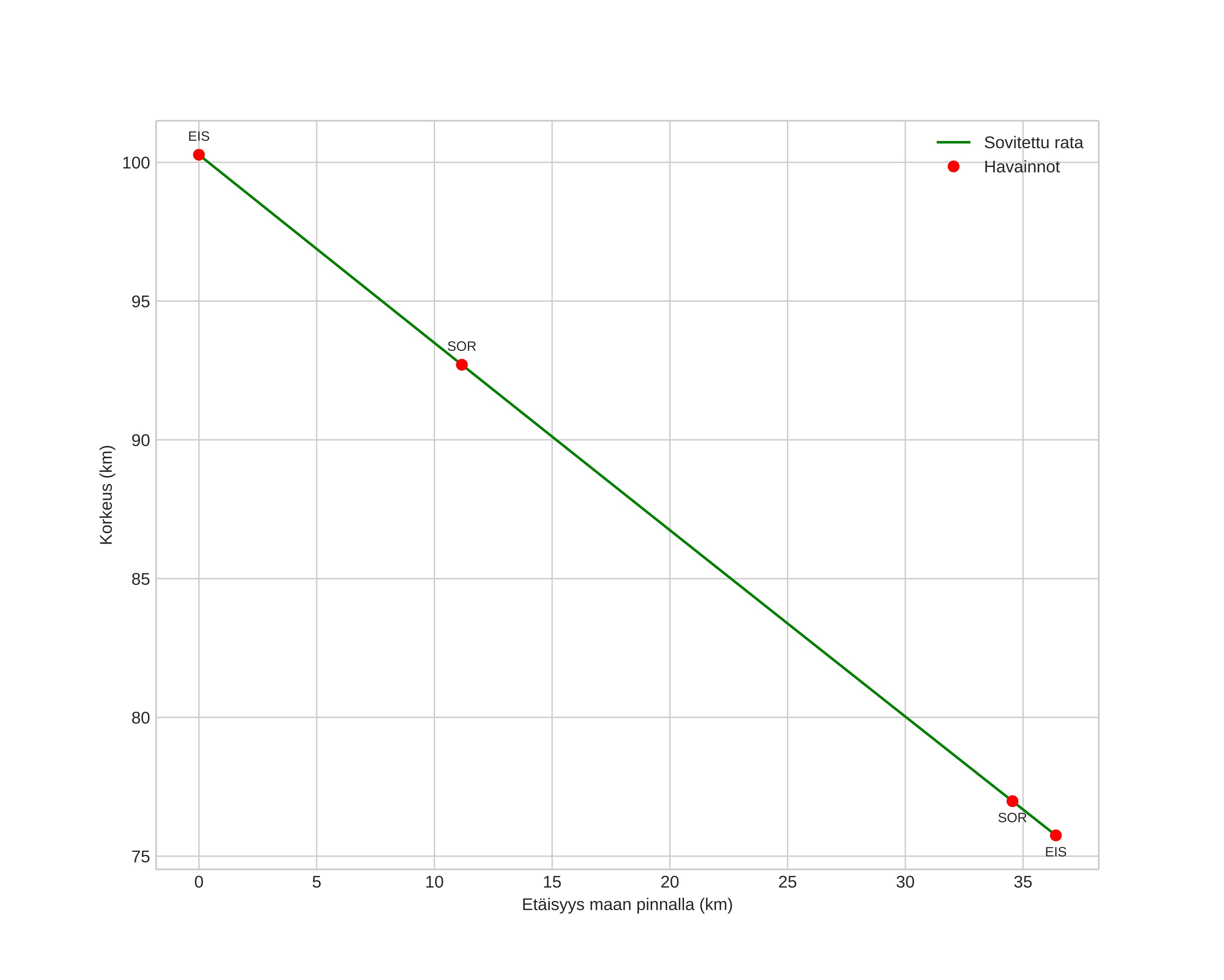
height profile
Meteorin ilmakehärata:
Alkukorkeus: 100,2 km
Loppukorkeus: 76,0 km
Alkupiste: 69,729N 19,822E
Loppupiste: 69,841N 18,929E
Suunta: 290,4°
Kallistuskulma: 33,6°
Tulonopeus: 31,6 km/s
Radiantin R,A,: 03:45 (56,3°)
Radiantin Dekl,: 22,8°
Meteoriparvi: Pohjoiset tauridit
Meteoroidin rataelementit:
Perihelietäisyys: 0,340 AU
Eksentrisyys: 0,859
Inklinaatio: 3,6°
Nousevan solmun pituus: 227,0°
Perihelin argumentti: 295,0°
Keskianomalia: 349,2°
Epookki: 2022 NOV 09 19:12:25
orbit plot

Ei-interaktiivinen kuvaaja | Interaktiivinen kuvaaja

position vs time
speed and acceleration