🇳🇴 🇬🇧 🇩🇪 🇨🇿 🇫🇮

Meteor, poloha: Breivikbotn 2022-11-10 16:59:06 UTC

Soubor KML  |  InteraktivnĂ­ mapa

Mapa zobrazuje dráhy meteoru. Světlejší čáry ukazují směry od pozorovacích stanic při objevení se meteoru a tmavší čáry, kde byl naposledy viděn. Modrá šipka značí viditelnou dráhu meteoru.

static map
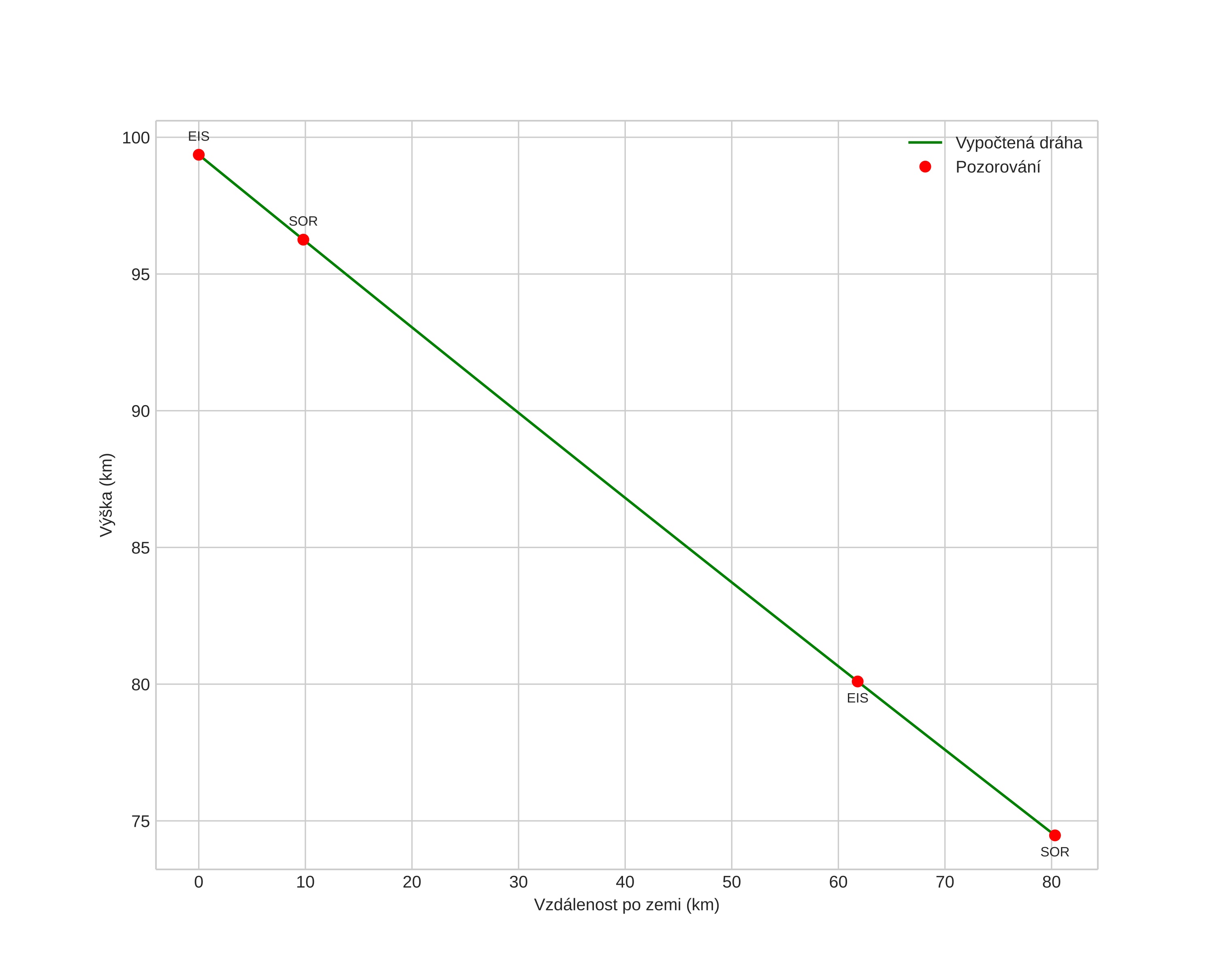
height profile
Atmosférická dráha meteoru:
Počáteční výška: 102,6 km
Konečná výška: 74,0 km
Počáteční poloha: 71,029N 24,631E
Konečná poloha: 70,900N 22,243E
Směr: 261,7°
Sklon: 18,0°
VstupnĂ­ rychlost: 36,1 km/s
Rektascenze radiantu: 04:05 (61,4°)
Deklinace radiantu: 17,8°
MeteorickĂ˝ roj: sporadickĂ˝
Elementy dráhy meteoroidu:
Vzdálenost v periheliu: 0,261 AU
Excentricita: 0,936
Sklon dráhy: 4,8°
Délka vzestupného uzlu: 48,0°
Argument perihelia: 121,5°
Střední anomálie: 355,5°
Epocha: 2022 NOV 10 16:59:06
orbit plot

NeinteraktivnĂ­ graf | InteraktivnĂ­ graf

position vs time
speed and acceleration