🇳🇴 🇬🇧 🇩🇪 🇨🇿 🇫🇮

Meteor Breivikbotnin yllä 2022-11-10 16:59:06 UTC

KML-tiedosto  |  Interaktiivinen kartta

Kartta näyttää meteorin suuntahavainnot. Vaaleammat viivat näyttävät suunnat havaintoasemilta meteorin ilmestyessä, ja tummemmat viivat näyttävät, missä se viimeksi nähtiin. Sininen nuoli näyttää meteorin näkyvän lennon.

static map
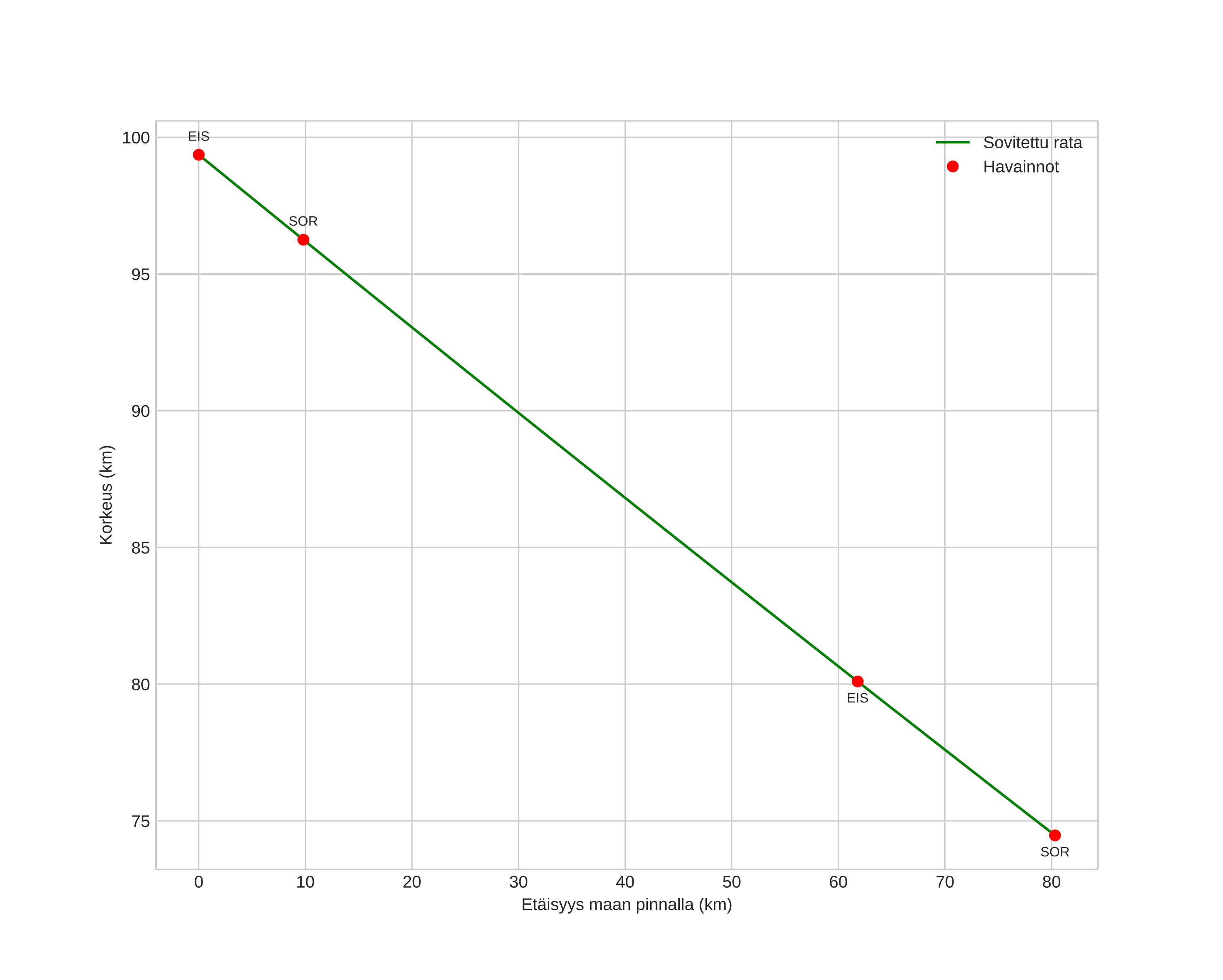
height profile
Meteorin ilmakehärata:
Alkukorkeus: 102,6 km
Loppukorkeus: 74,0 km
Alkupiste: 71,029N 24,631E
Loppupiste: 70,900N 22,243E
Suunta: 261,7°
Kallistuskulma: 18,0°
Tulonopeus: 36,1 km/s
Radiantin R,A,: 04:05 (61,4°)
Radiantin Dekl,: 17,8°
Meteoriparvi: Sporadinen
Meteoroidin rataelementit:
Perihelietäisyys: 0,261 AU
Eksentrisyys: 0,936
Inklinaatio: 4,8°
Nousevan solmun pituus: 48,0°
Perihelin argumentti: 121,5°
Keskianomalia: 355,5°
Epookki: 2022 NOV 10 16:59:06
orbit plot

Ei-interaktiivinen kuvaaja | Interaktiivinen kuvaaja

position vs time
speed and acceleration