🇳🇴 🇬🇧 🇩🇪 🇨🇿 🇫🇮

Meteor, poloha: Burfjord 2022-11-10 20:38:35 UTC

Soubor KML  |  InteraktivnĂ­ mapa

Mapa zobrazuje dráhy meteoru. Světlejší čáry ukazují směry od pozorovacích stanic při objevení se meteoru a tmavší čáry, kde byl naposledy viděn. Modrá šipka značí viditelnou dráhu meteoru.

static map
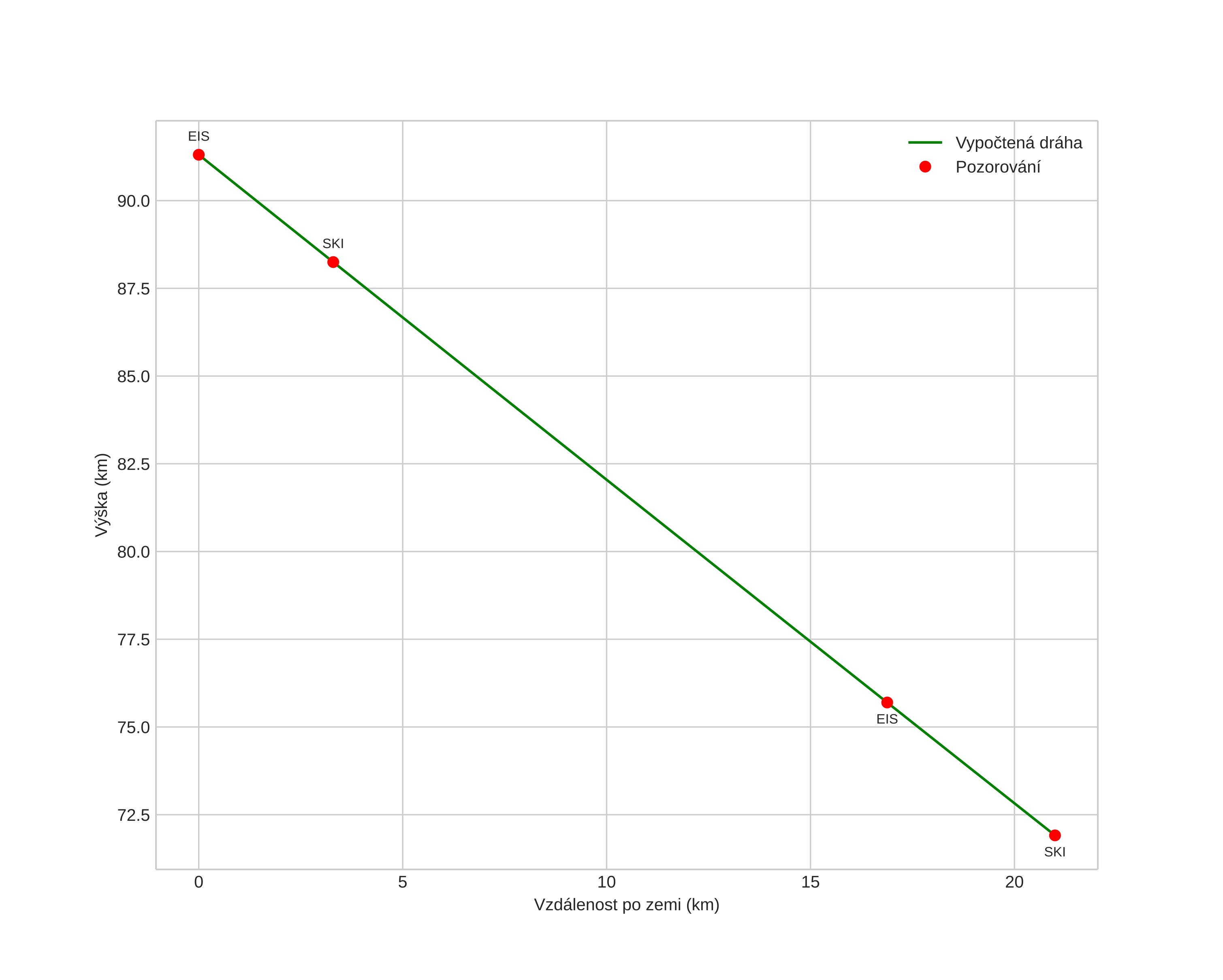
height profile
Atmosférická dráha meteoru:
Počáteční výška: 90,9 km
Konečná výška: 72,1 km
Počáteční poloha: 69,615N 22,801E
Konečná poloha: 69,764N 22,472E
Směr: 322,6°
Sklon: 42,1°
VstupnĂ­ rychlost: 25,5 km/s
Rektascenze radiantu: 03:28 (52,2°)
Deklinace radiantu: 22,4°
MeteorickĂ˝ roj: SevernĂ­ Tauridy
Elementy dráhy meteoroidu:
Vzdálenost v periheliu: 0,475 AU
Excentricita: 0,722
Sklon dráhy: 2,8°
Délka vzestupného uzlu: 228,1°
Argument perihelia: 284,0°
Střední anomálie: 339,2°
Epocha: 2022 NOV 10 20:38:35
orbit plot

NeinteraktivnĂ­ graf | InteraktivnĂ­ graf

position vs time
speed and acceleration