🇳🇴 🇬🇧 🇩🇪 🇨🇿 🇫🇮

Meteor über Burfjord 2022-11-10 20:38:35 UTC

KML-Datei  |  Interaktive Karte

Die Karte zeigt die Peilungen für den Meteor. Die helleren Linien zeigen die Richtungen von den Beobachtungsorten beim Erscheinen des Meteors, und die dunkleren Linien, wo er zuletzt gesehen wurde. Der blaue Pfeil zeigt die sichtbare Bahn des Meteors.

static map
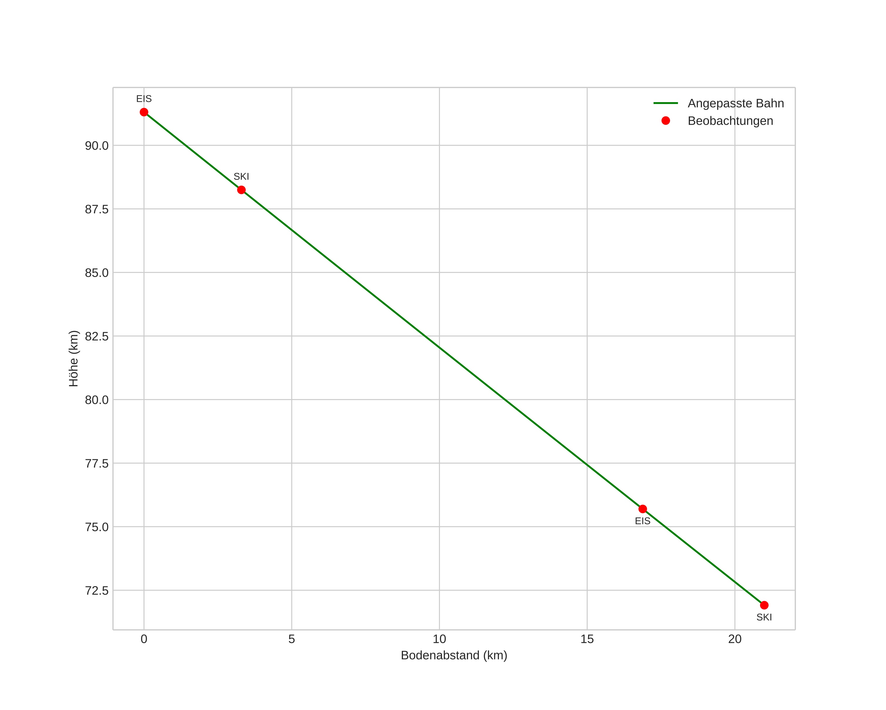
height profile
Atmosphärische Bahn des Meteors:
Anfangshöhe: 90,9 km
Endhöhe: 72,1 km
Startposition: 69,615N 22,801E
Endposition: 69,764N 22,472E
Richtung: 322,6°
Neigungswinkel: 42,1°
Eintrittsgeschwindigkeit: 25,5 km/s
Rektaszension des Radianten: 03:28 (52,2°)
Deklination des Radianten: 22,4°
Meteorstrom: Nördliche Tauriden
Bahnelemente des Meteoroiden:
Periheldistanz: 0,475 AU
Exzentrizität: 0,722
Inklination: 2,8°
Länge des aufsteigenden Knotens: 228,1°
Argument des Perihels: 284,0°
Mittlere Anomalie: 339,2°
Epoche: 2022 NOV 10 20:38:35
orbit plot

Nicht-interaktives Diagramm | Interaktives Diagramm

position vs time
speed and acceleration