🇳🇴 🇬🇧 🇩🇪 🇨🇿 🇫🇮

Meteor Burfjordin yllä 2022-11-10 20:38:35 UTC

KML-tiedosto  |  Interaktiivinen kartta

Kartta näyttää meteorin suuntahavainnot. Vaaleammat viivat näyttävät suunnat havaintoasemilta meteorin ilmestyessä, ja tummemmat viivat näyttävät, missä se viimeksi nähtiin. Sininen nuoli näyttää meteorin näkyvän lennon.

static map
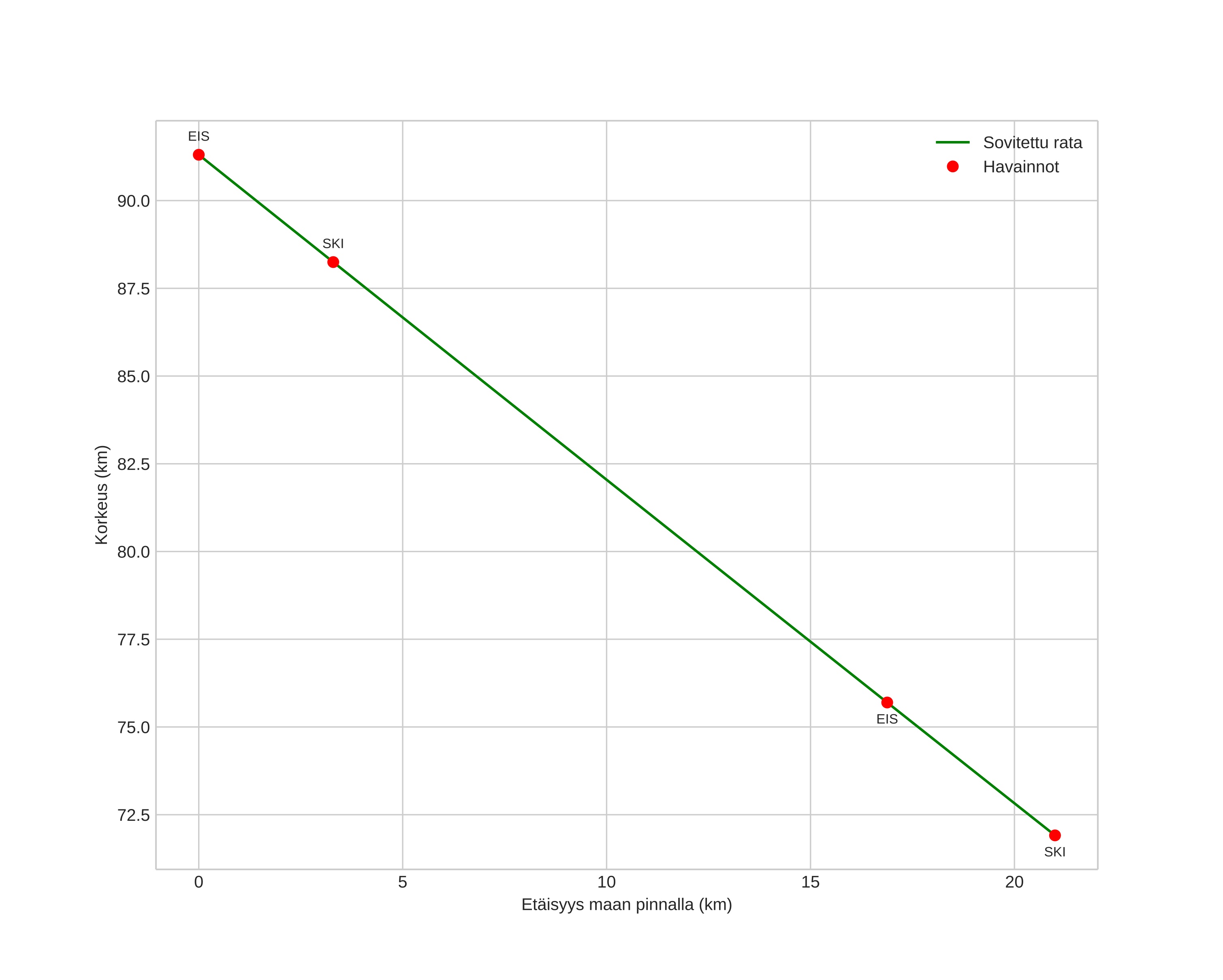
height profile
Meteorin ilmakehärata:
Alkukorkeus: 90,9 km
Loppukorkeus: 72,1 km
Alkupiste: 69,615N 22,801E
Loppupiste: 69,764N 22,472E
Suunta: 322,6°
Kallistuskulma: 42,1°
Tulonopeus: 25,5 km/s
Radiantin R,A,: 03:28 (52,2°)
Radiantin Dekl,: 22,4°
Meteoriparvi: Pohjoiset tauridit
Meteoroidin rataelementit:
Perihelietäisyys: 0,475 AU
Eksentrisyys: 0,722
Inklinaatio: 2,8°
Nousevan solmun pituus: 228,1°
Perihelin argumentti: 284,0°
Keskianomalia: 339,2°
Epookki: 2022 NOV 10 20:38:35
orbit plot

Ei-interaktiivinen kuvaaja | Interaktiivinen kuvaaja

position vs time
speed and acceleration