🇳🇴 🇬🇧 🇩🇪 🇨🇿 🇫🇮

Meteor, poloha: Moen 2022-11-10 22:10:58 UTC

Soubor KML  |  InteraktivnĂ­ mapa

Mapa zobrazuje dráhy meteoru. Světlejší čáry ukazují směry od pozorovacích stanic při objevení se meteoru a tmavší čáry, kde byl naposledy viděn. Modrá šipka značí viditelnou dráhu meteoru.

static map
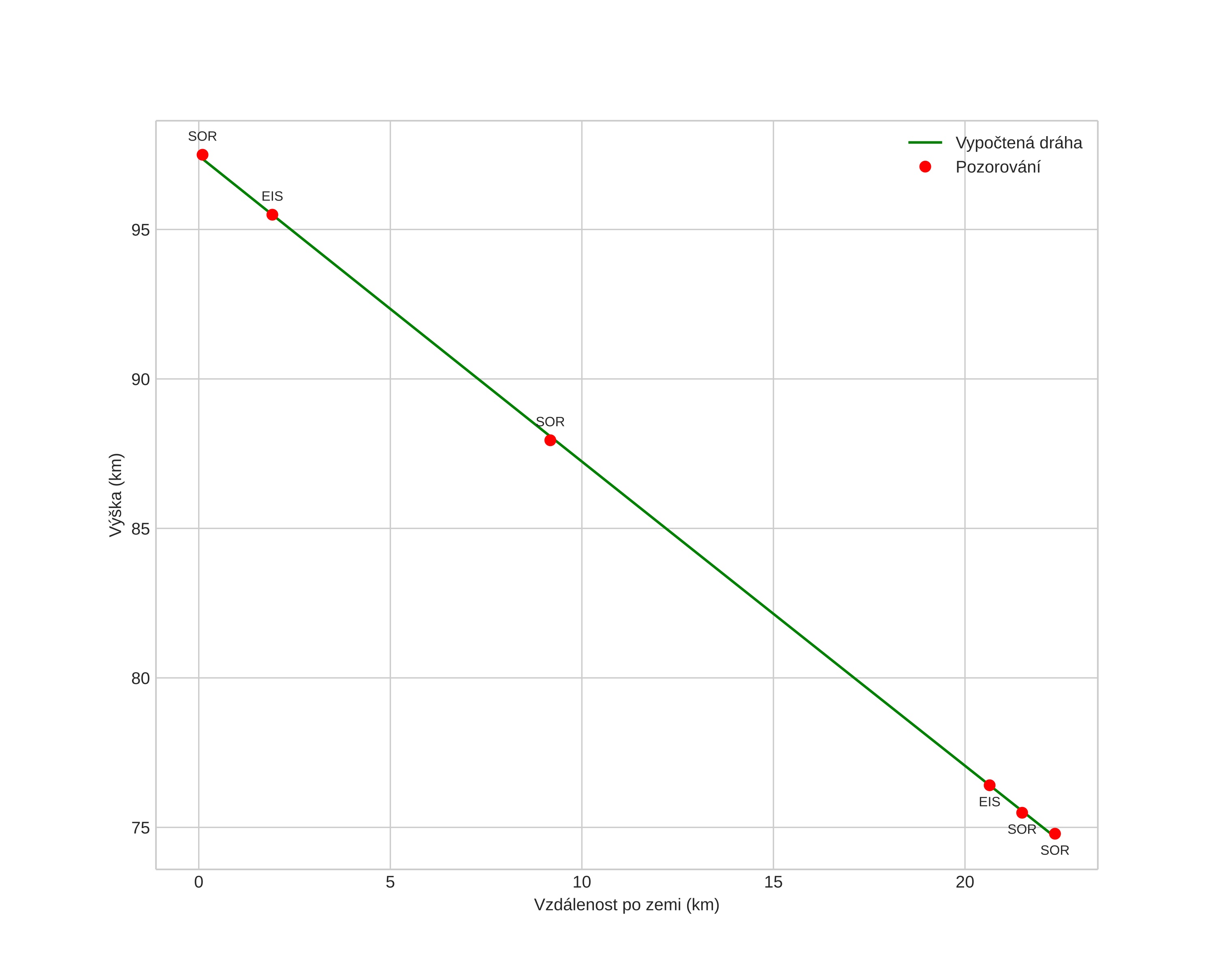
height profile
Atmosférická dráha meteoru:
Počáteční výška: 102,3 km
Konečná výška: 75,5 km
Počáteční poloha: 69,088N 19,122E
Konečná poloha: 69,306N 18,874E
Směr: 338,1°
Sklon: 45,7°
VstupnĂ­ rychlost: 31,0 km/s
Rektascenze radiantu: 03:52 (58,2°)
Deklinace radiantu: 24,3°
MeteorickĂ˝ roj: SevernĂ­ Tauridy
Elementy dráhy meteoroidu:
Vzdálenost v periheliu: 0,335 AU
Excentricita: 0,841
Sklon dráhy: 4,9°
Délka vzestupného uzlu: 228,2°
Argument perihelia: 296,7°
Střední anomálie: 346,5°
Epocha: 2022 NOV 10 22:10:58
orbit plot

NeinteraktivnĂ­ graf | InteraktivnĂ­ graf

position vs time
speed and acceleration