🇳🇴 🇬🇧 🇩🇪 🇨🇿 🇫🇮

Meteor Moenin yllä 2022-11-10 22:10:58 UTC

KML-tiedosto  |  Interaktiivinen kartta

Kartta näyttää meteorin suuntahavainnot. Vaaleammat viivat näyttävät suunnat havaintoasemilta meteorin ilmestyessä, ja tummemmat viivat näyttävät, missä se viimeksi nähtiin. Sininen nuoli näyttää meteorin näkyvän lennon.

static map
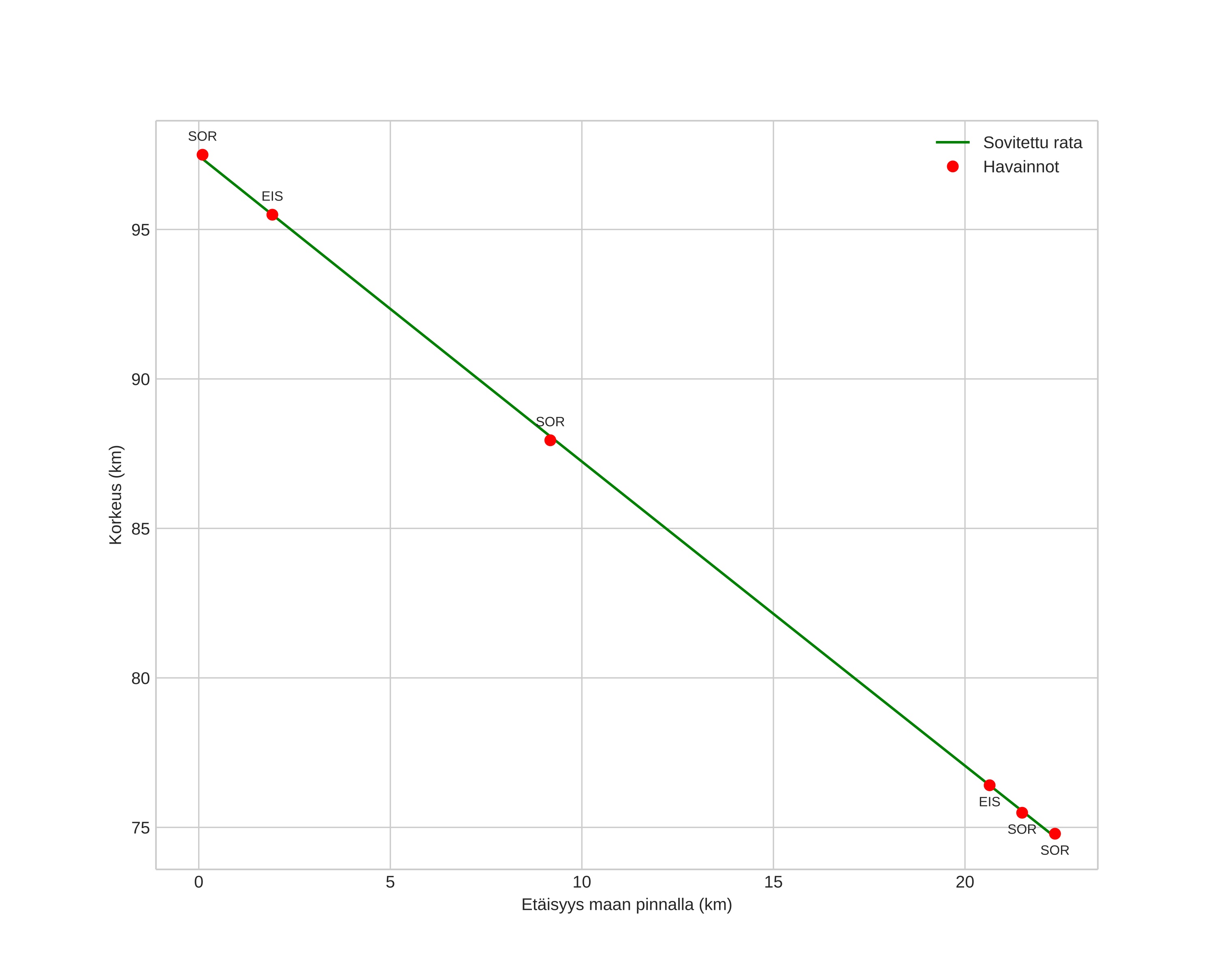
height profile
Meteorin ilmakehärata:
Alkukorkeus: 102,3 km
Loppukorkeus: 75,5 km
Alkupiste: 69,088N 19,122E
Loppupiste: 69,306N 18,874E
Suunta: 338,1°
Kallistuskulma: 45,7°
Tulonopeus: 31,0 km/s
Radiantin R,A,: 03:52 (58,2°)
Radiantin Dekl,: 24,3°
Meteoriparvi: Pohjoiset tauridit
Meteoroidin rataelementit:
Perihelietäisyys: 0,335 AU
Eksentrisyys: 0,841
Inklinaatio: 4,9°
Nousevan solmun pituus: 228,2°
Perihelin argumentti: 296,7°
Keskianomalia: 346,5°
Epookki: 2022 NOV 10 22:10:58
orbit plot

Ei-interaktiivinen kuvaaja | Interaktiivinen kuvaaja

position vs time
speed and acceleration