🇳🇴 🇬🇧 🇩🇪 🇨🇿 🇫🇮

Meteor über Moen 2022-11-10 22:10:58 UTC

KML-Datei  |  Interaktive Karte

Die Karte zeigt die Peilungen für den Meteor. Die helleren Linien zeigen die Richtungen von den Beobachtungsorten beim Erscheinen des Meteors, und die dunkleren Linien, wo er zuletzt gesehen wurde. Der blaue Pfeil zeigt die sichtbare Bahn des Meteors.

static map
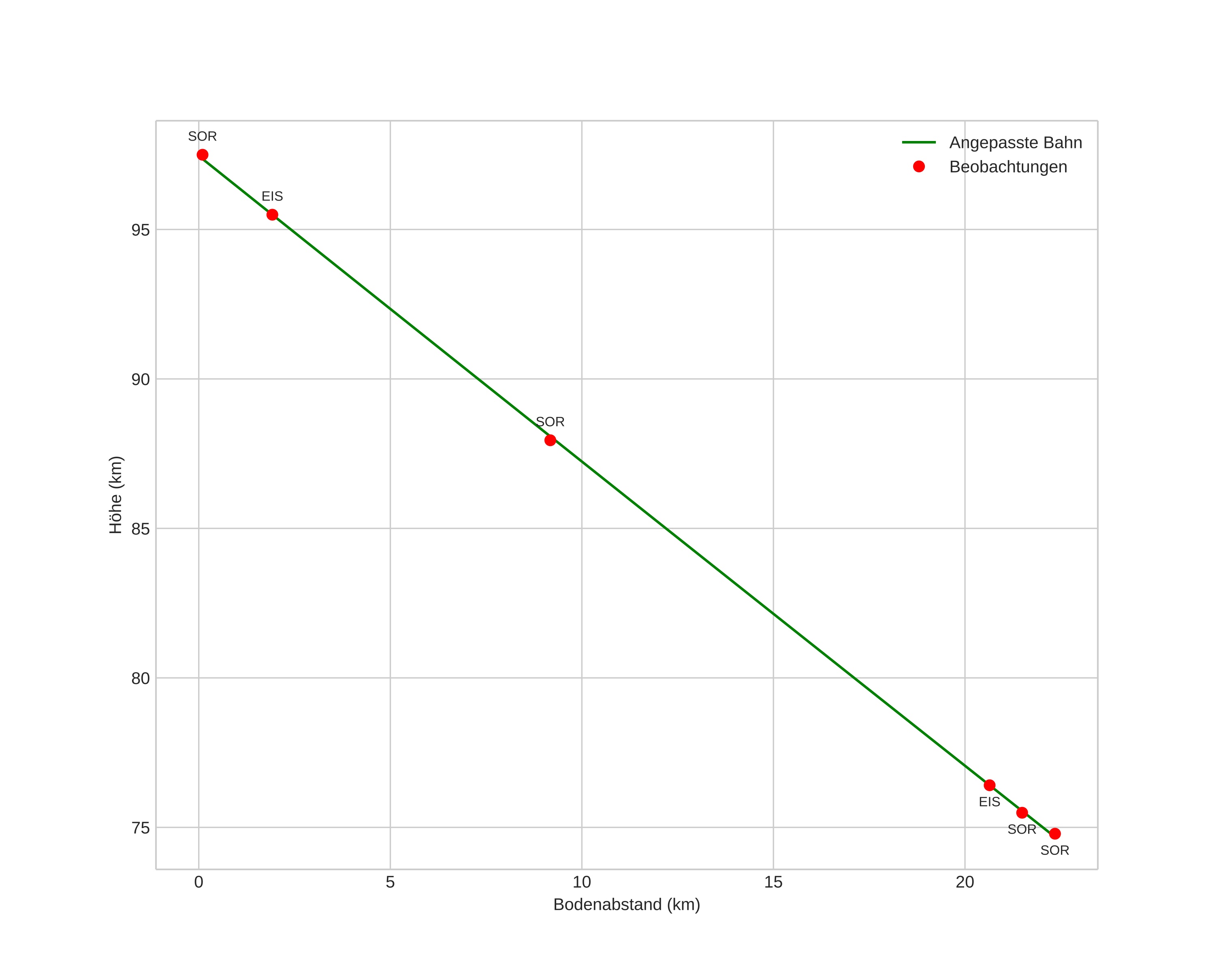
height profile
Atmosphärische Bahn des Meteors:
Anfangshöhe: 102,3 km
Endhöhe: 75,5 km
Startposition: 69,088N 19,122E
Endposition: 69,306N 18,874E
Richtung: 338,1°
Neigungswinkel: 45,7°
Eintrittsgeschwindigkeit: 31,0 km/s
Rektaszension des Radianten: 03:52 (58,2°)
Deklination des Radianten: 24,3°
Meteorstrom: Nördliche Tauriden
Bahnelemente des Meteoroiden:
Periheldistanz: 0,335 AU
Exzentrizität: 0,841
Inklination: 4,9°
Länge des aufsteigenden Knotens: 228,2°
Argument des Perihels: 296,7°
Mittlere Anomalie: 346,5°
Epoche: 2022 NOV 10 22:10:58
orbit plot

Nicht-interaktives Diagramm | Interaktives Diagramm

position vs time
speed and acceleration