🇳🇴 🇬🇧 🇩🇪 🇨🇿 🇫🇮

Meteor, poloha: Andenes 2022-11-16 23:14:30 UTC

Soubor KML  |  InteraktivnĂ­ mapa

Mapa zobrazuje dráhy meteoru. Světlejší čáry ukazují směry od pozorovacích stanic při objevení se meteoru a tmavší čáry, kde byl naposledy viděn. Modrá šipka značí viditelnou dráhu meteoru.

static map
height profile
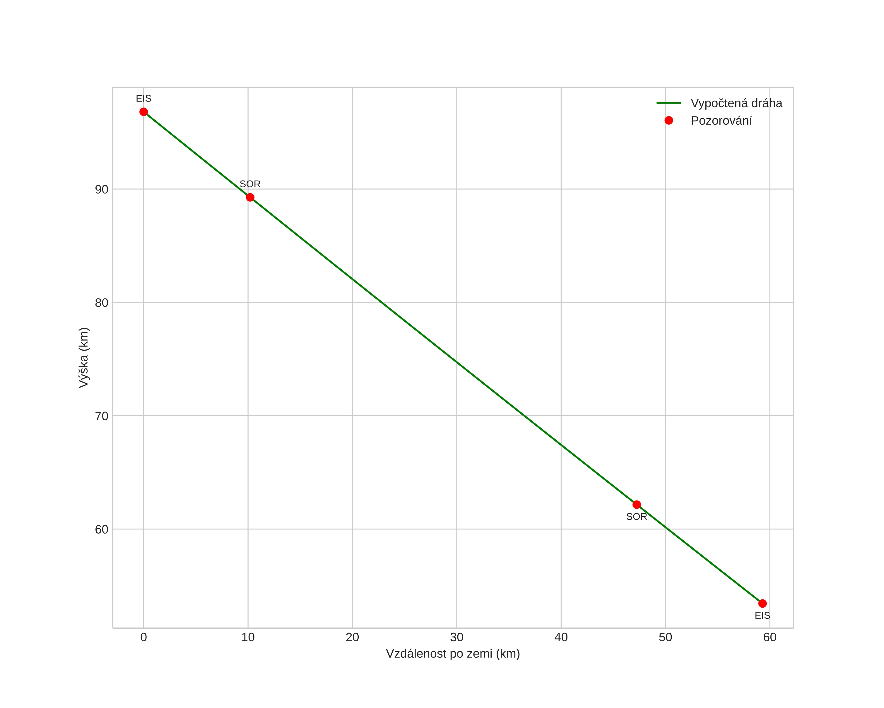
Atmosférická dráha meteoru:
Počáteční výška: 98,0 km
Konečná výška: 53,1 km
Počáteční poloha: 70,337N 16,490E
Konečná poloha: 70,856N 16,450E
Směr: 358,5°
Sklon: 37,9°
VstupnĂ­ rychlost: 29,5 km/s
Rektascenze radiantu: 04:06 (61,6°)
Deklinace radiantu: 16,0°
MeteorickĂ˝ roj: JiĹľnĂ­ Tauridy
Elementy dráhy meteoroidu:
Vzdálenost v periheliu: 0,413 AU
Excentricita: 0,833
Sklon dráhy: 5,0°
Délka vzestupného uzlu: 54,3°
Argument perihelia: 106,3°
Střední anomálie: 349,2°
Epocha: 2022 NOV 16 23:14:30
orbit plot

NeinteraktivnĂ­ graf | InteraktivnĂ­ graf

position vs time
speed and acceleration