🇳🇴 🇬🇧 🇩🇪 🇨🇿 🇫🇮

Meteor Andenesin yllä 2022-11-16 23:14:30 UTC

KML-tiedosto  |  Interaktiivinen kartta

Kartta näyttää meteorin suuntahavainnot. Vaaleammat viivat näyttävät suunnat havaintoasemilta meteorin ilmestyessä, ja tummemmat viivat näyttävät, missä se viimeksi nähtiin. Sininen nuoli näyttää meteorin näkyvän lennon.

static map
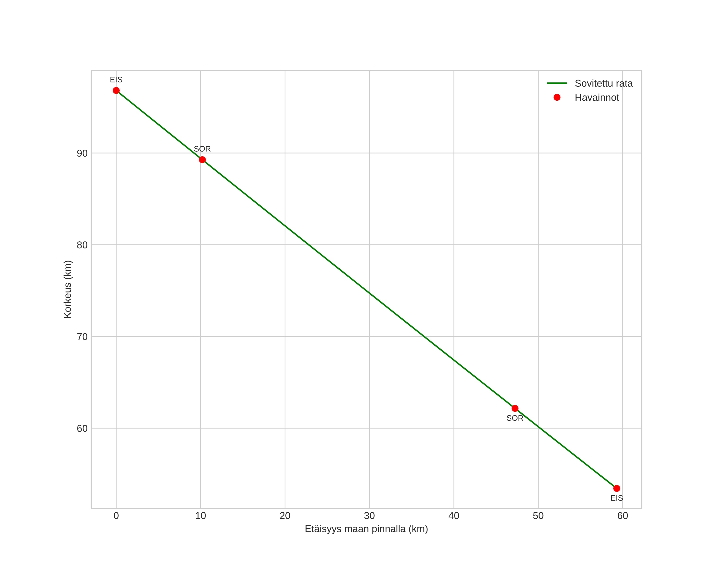
height profile
Meteorin ilmakehärata:
Alkukorkeus: 98,0 km
Loppukorkeus: 53,1 km
Alkupiste: 70,337N 16,490E
Loppupiste: 70,856N 16,450E
Suunta: 358,5°
Kallistuskulma: 37,9°
Tulonopeus: 29,5 km/s
Radiantin R,A,: 04:06 (61,6°)
Radiantin Dekl,: 16,0°
Meteoriparvi: Eteläiset tauridit
Meteoroidin rataelementit:
Perihelietäisyys: 0,413 AU
Eksentrisyys: 0,833
Inklinaatio: 5,0°
Nousevan solmun pituus: 54,3°
Perihelin argumentti: 106,3°
Keskianomalia: 349,2°
Epookki: 2022 NOV 16 23:14:30
orbit plot

Ei-interaktiivinen kuvaaja | Interaktiivinen kuvaaja

position vs time
speed and acceleration