🇳🇴 🇬🇧 🇩🇪 🇨🇿 🇫🇮

Meteor über Andenes 2022-11-16 23:14:30 UTC

KML-Datei  |  Interaktive Karte

Die Karte zeigt die Peilungen für den Meteor. Die helleren Linien zeigen die Richtungen von den Beobachtungsorten beim Erscheinen des Meteors, und die dunkleren Linien, wo er zuletzt gesehen wurde. Der blaue Pfeil zeigt die sichtbare Bahn des Meteors.

static map
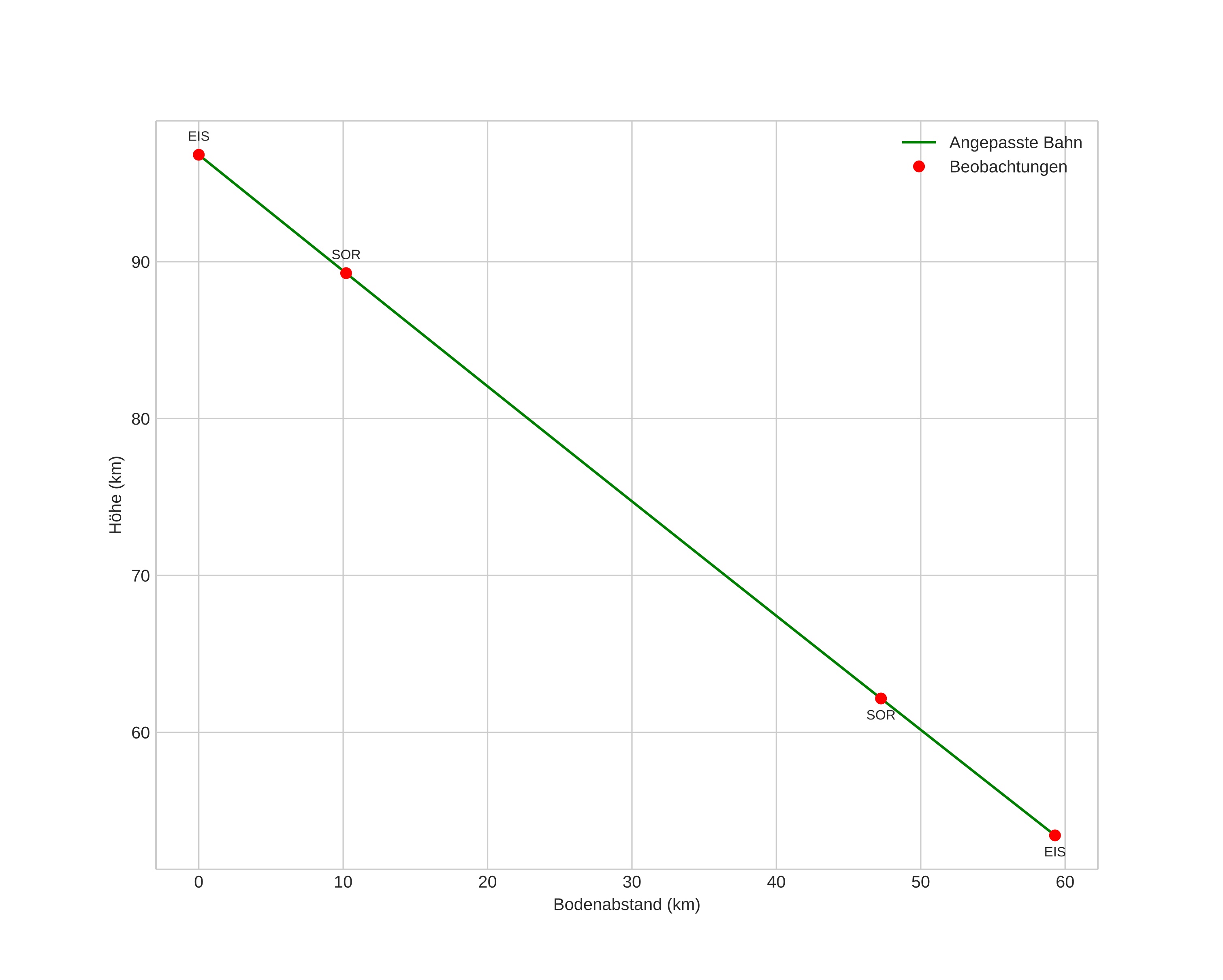
height profile
Atmosphärische Bahn des Meteors:
Anfangshöhe: 98,0 km
Endhöhe: 53,1 km
Startposition: 70,337N 16,490E
Endposition: 70,856N 16,450E
Richtung: 358,5°
Neigungswinkel: 37,9°
Eintrittsgeschwindigkeit: 29,5 km/s
Rektaszension des Radianten: 04:06 (61,6°)
Deklination des Radianten: 16,0°
Meteorstrom: Südliche Tauriden
Bahnelemente des Meteoroiden:
Periheldistanz: 0,413 AU
Exzentrizität: 0,833
Inklination: 5,0°
Länge des aufsteigenden Knotens: 54,3°
Argument des Perihels: 106,3°
Mittlere Anomalie: 349,2°
Epoche: 2022 NOV 16 23:14:30
orbit plot

Nicht-interaktives Diagramm | Interaktives Diagramm

position vs time
speed and acceleration