🇳🇴 🇬🇧 🇩🇪 🇨🇿 🇫🇮

Meteor, poloha: Storsteinnes 2022-11-18 03:43:28 UTC

Soubor KML  |  InteraktivnĂ­ mapa

Mapa zobrazuje dráhy meteoru. Světlejší čáry ukazují směry od pozorovacích stanic při objevení se meteoru a tmavší čáry, kde byl naposledy viděn. Modrá šipka značí viditelnou dráhu meteoru.

static map
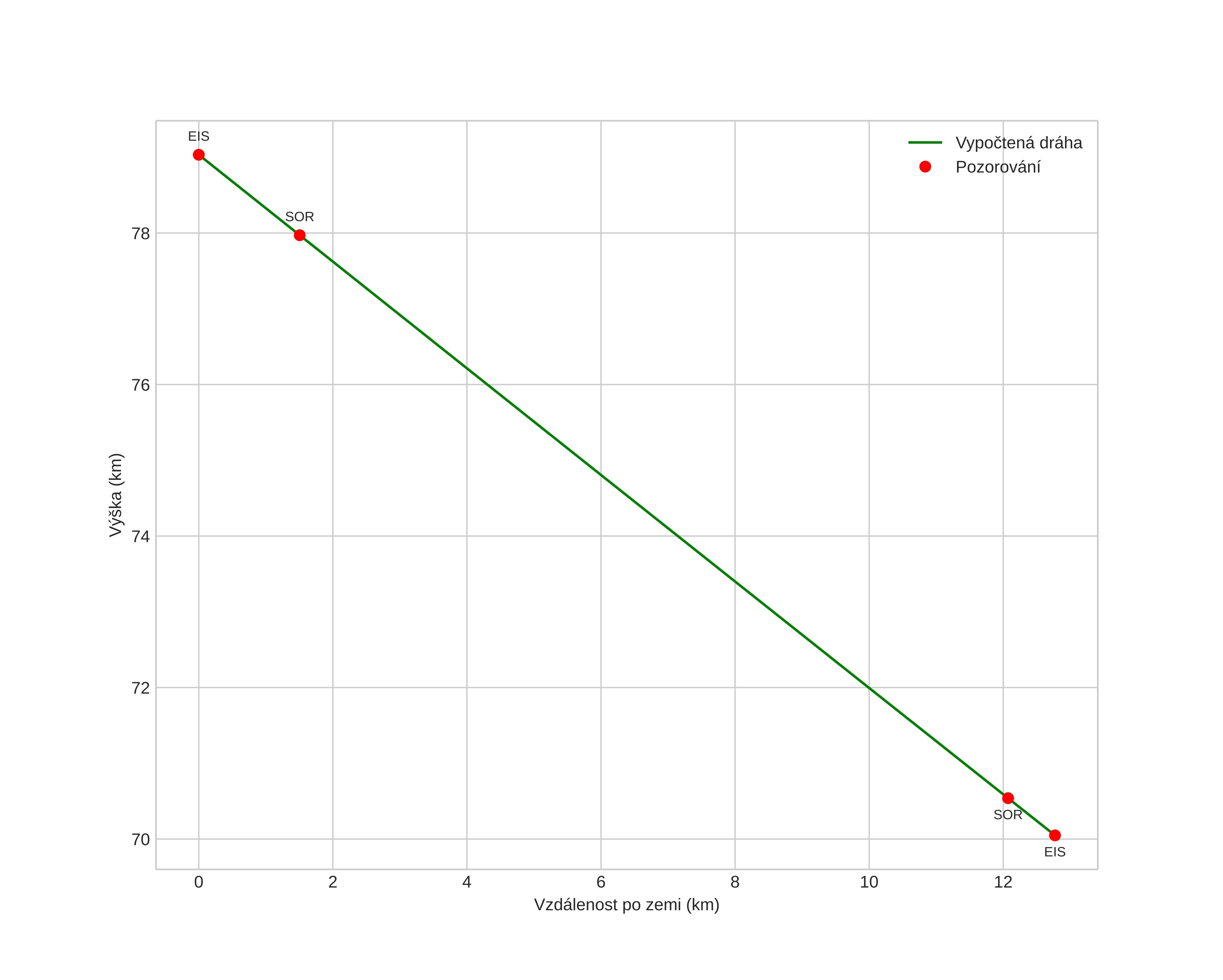
height profile
Atmosférická dráha meteoru:
Počáteční výška: 79,1 km
Konečná výška: 70,2 km
Počáteční poloha: 68,401N 19,172E
Konečná poloha: 68,365N 19,467E
Směr: 108,2°
Sklon: 34,9°
VstupnĂ­ rychlost: 18,7 km/s
Rektascenze radiantu: 02:25 (36,5°)
Deklinace radiantu: 32,6°
MeteorickĂ˝ roj: sporadickĂ˝
Elementy dráhy meteoroidu:
Vzdálenost v periheliu: 0,763 AU
Excentricita: 0,583
Sklon dráhy: 7,8°
Délka vzestupného uzlu: 235,4°
Argument perihelia: 247,7°
Střední anomálie: 342,6°
Epocha: 2022 NOV 18 03:43:28
orbit plot

NeinteraktivnĂ­ graf | InteraktivnĂ­ graf

position vs time
speed and acceleration