🇳🇴 🇬🇧 🇩🇪 🇨🇿 🇫🇮

Meteor Storsteinnesin yllä 2022-11-18 03:43:28 UTC

KML-tiedosto  |  Interaktiivinen kartta

Kartta näyttää meteorin suuntahavainnot. Vaaleammat viivat näyttävät suunnat havaintoasemilta meteorin ilmestyessä, ja tummemmat viivat näyttävät, missä se viimeksi nähtiin. Sininen nuoli näyttää meteorin näkyvän lennon.

static map
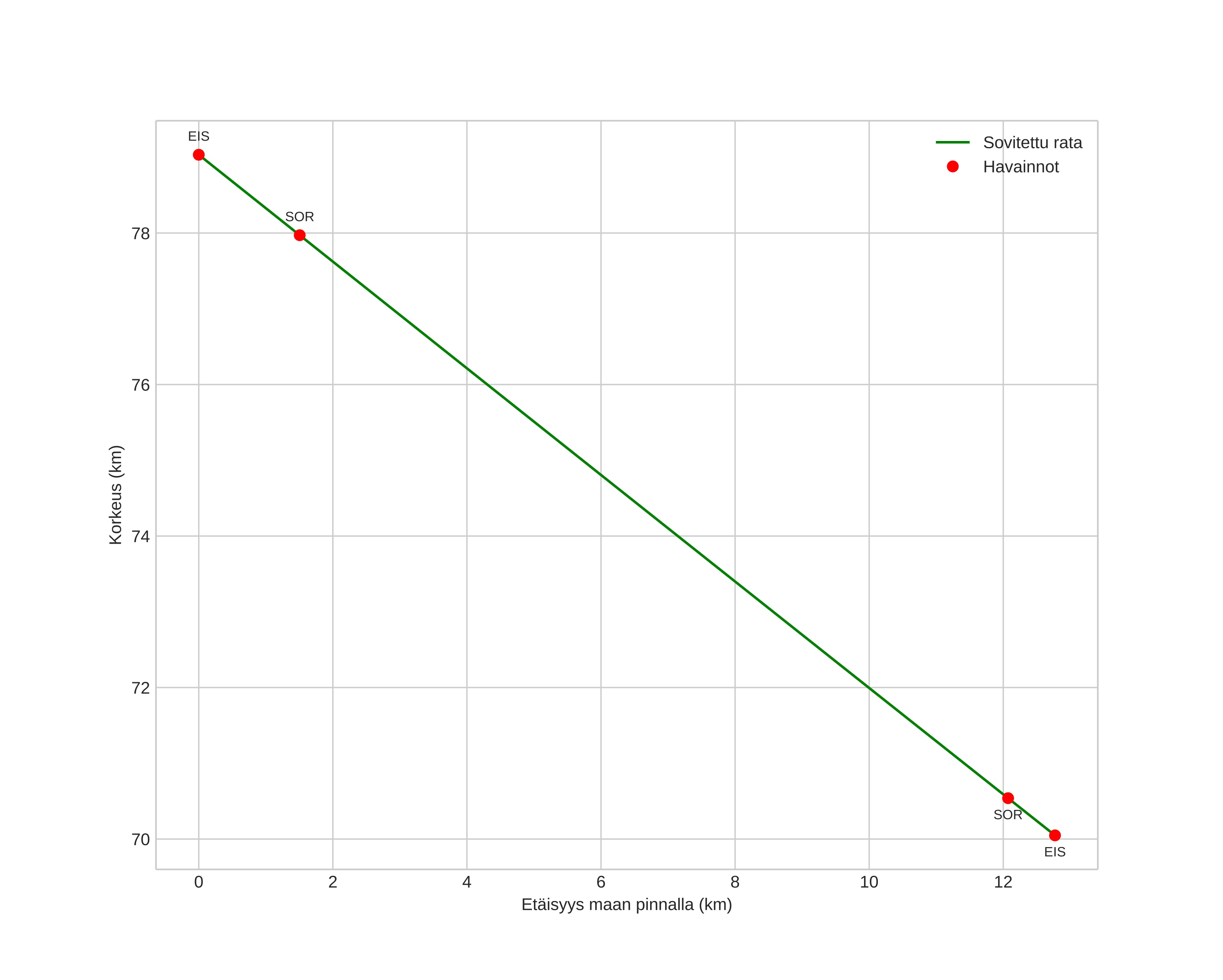
height profile
Meteorin ilmakehärata:
Alkukorkeus: 79,1 km
Loppukorkeus: 70,2 km
Alkupiste: 68,401N 19,172E
Loppupiste: 68,365N 19,467E
Suunta: 108,2°
Kallistuskulma: 34,9°
Tulonopeus: 18,7 km/s
Radiantin R,A,: 02:25 (36,5°)
Radiantin Dekl,: 32,6°
Meteoriparvi: Sporadinen
Meteoroidin rataelementit:
Perihelietäisyys: 0,763 AU
Eksentrisyys: 0,583
Inklinaatio: 7,8°
Nousevan solmun pituus: 235,4°
Perihelin argumentti: 247,7°
Keskianomalia: 342,6°
Epookki: 2022 NOV 18 03:43:28
orbit plot

Ei-interaktiivinen kuvaaja | Interaktiivinen kuvaaja

position vs time
speed and acceleration