🇳🇴 🇬🇧 🇩🇪 🇨🇿 🇫🇮

Meteor über Storsteinnes 2022-11-18 03:43:28 UTC

KML-Datei  |  Interaktive Karte

Die Karte zeigt die Peilungen für den Meteor. Die helleren Linien zeigen die Richtungen von den Beobachtungsorten beim Erscheinen des Meteors, und die dunkleren Linien, wo er zuletzt gesehen wurde. Der blaue Pfeil zeigt die sichtbare Bahn des Meteors.

static map
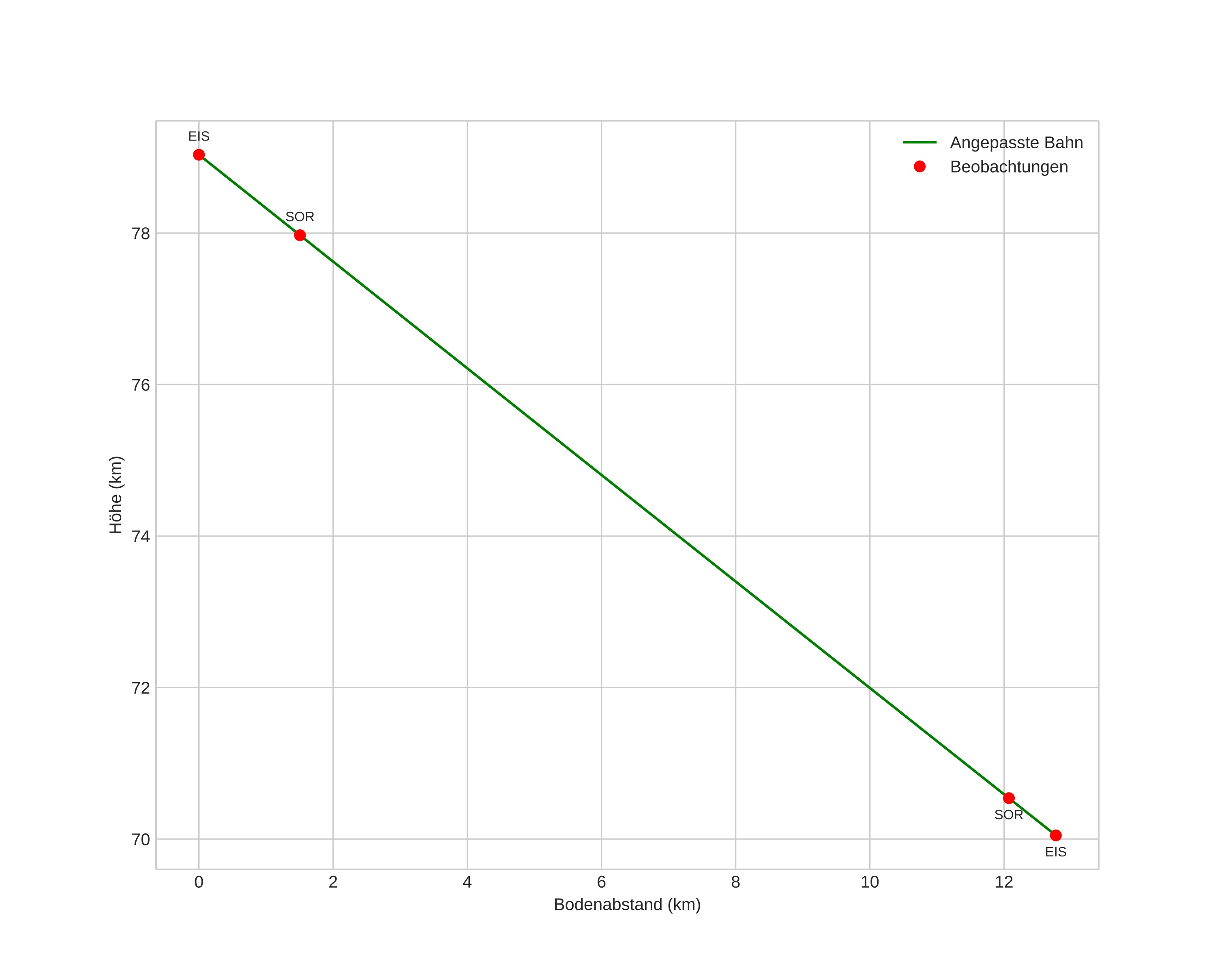
height profile
Atmosphärische Bahn des Meteors:
Anfangshöhe: 79,1 km
Endhöhe: 70,2 km
Startposition: 68,401N 19,172E
Endposition: 68,365N 19,467E
Richtung: 108,2°
Neigungswinkel: 34,9°
Eintrittsgeschwindigkeit: 18,7 km/s
Rektaszension des Radianten: 02:25 (36,5°)
Deklination des Radianten: 32,6°
Meteorstrom: sporadisch
Bahnelemente des Meteoroiden:
Periheldistanz: 0,763 AU
Exzentrizität: 0,583
Inklination: 7,8°
Länge des aufsteigenden Knotens: 235,4°
Argument des Perihels: 247,7°
Mittlere Anomalie: 342,6°
Epoche: 2022 NOV 18 03:43:28
orbit plot

Nicht-interaktives Diagramm | Interaktives Diagramm

position vs time
speed and acceleration