🇳🇴 🇬🇧 🇩🇪 🇨🇿 🇫🇮

Meteor, poloha: Storsteinnes 2022-11-20 21:26:09 UTC

Soubor KML  |  InteraktivnĂ­ mapa

Mapa zobrazuje dráhy meteoru. Světlejší čáry ukazují směry od pozorovacích stanic při objevení se meteoru a tmavší čáry, kde byl naposledy viděn. Modrá šipka značí viditelnou dráhu meteoru.

static map
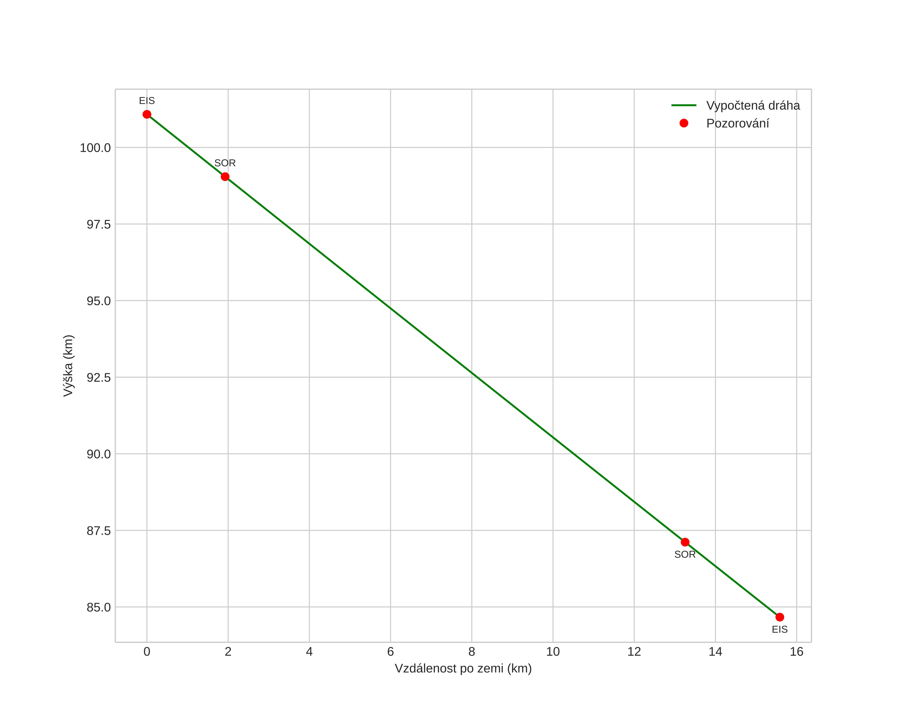
height profile
Atmosférická dráha meteoru:
Počáteční výška: 101,7 km
Konečná výška: 85,4 km
Počáteční poloha: 69,142N 19,925E
Konečná poloha: 69,212N 19,586E
Směr: 300,3°
Sklon: 46,5°
VstupnĂ­ rychlost: 41,6 km/s
Rektascenze radiantu: 05:46 (86,5°)
Deklinace radiantu: 32,9°
MeteorickĂ˝ roj: sporadickĂ˝
Elementy dráhy meteoroidu:
Vzdálenost v periheliu: 0,094 AU
Excentricita: 0,957
Sklon dráhy: 30,7°
Délka vzestupného uzlu: 238,2°
Argument perihelia: 328,3°
Střední anomálie: 349,7°
Epocha: 2022 NOV 20 21:26:09
orbit plot

NeinteraktivnĂ­ graf | InteraktivnĂ­ graf

position vs time
speed and acceleration