🇳🇴 🇬🇧 🇩🇪 🇨🇿 🇫🇮

Meteor über Storsteinnes 2022-11-20 21:26:09 UTC

KML-Datei  |  Interaktive Karte

Die Karte zeigt die Peilungen für den Meteor. Die helleren Linien zeigen die Richtungen von den Beobachtungsorten beim Erscheinen des Meteors, und die dunkleren Linien, wo er zuletzt gesehen wurde. Der blaue Pfeil zeigt die sichtbare Bahn des Meteors.

static map
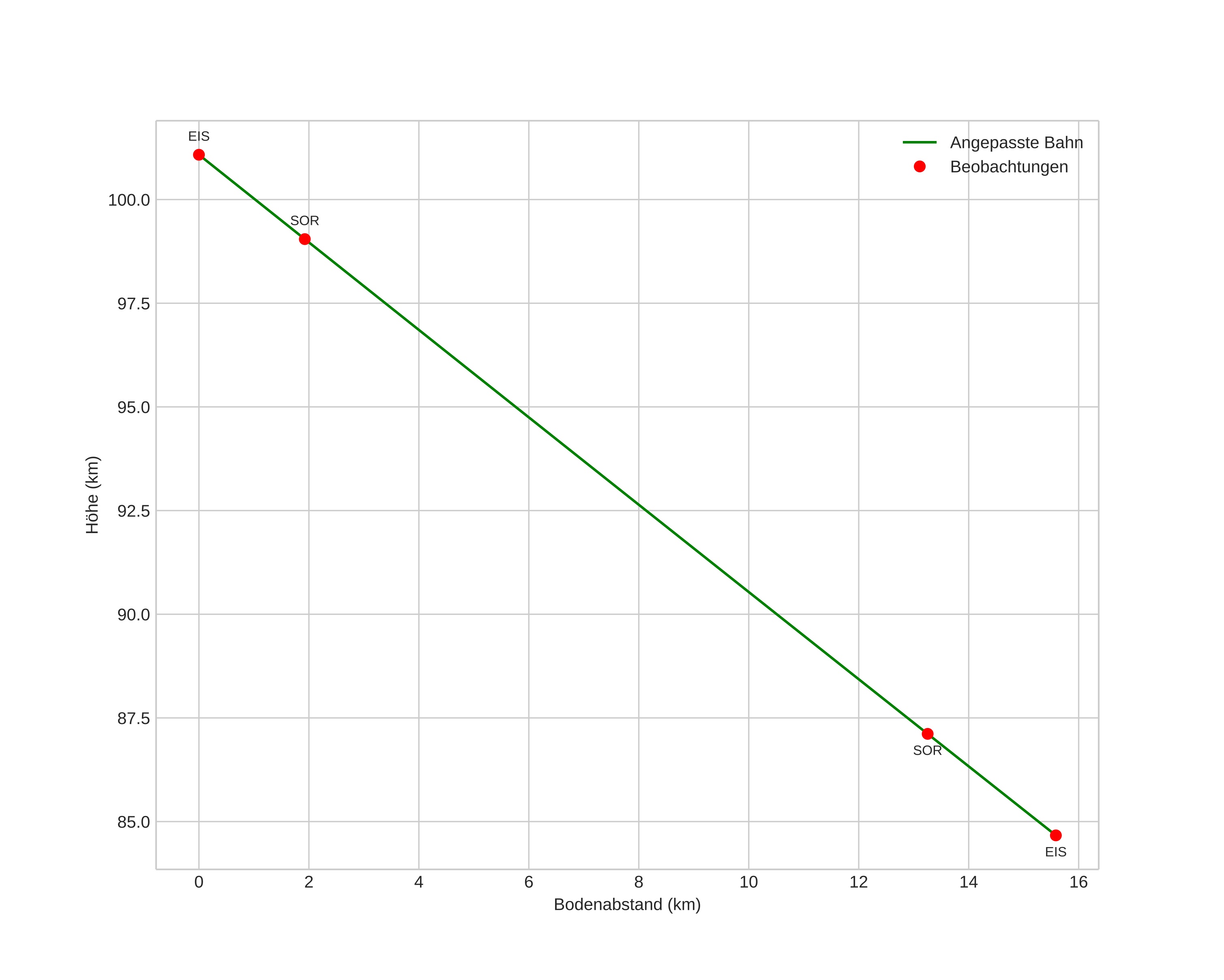
height profile
Atmosphärische Bahn des Meteors:
Anfangshöhe: 101,7 km
Endhöhe: 85,4 km
Startposition: 69,142N 19,925E
Endposition: 69,212N 19,586E
Richtung: 300,3°
Neigungswinkel: 46,5°
Eintrittsgeschwindigkeit: 41,6 km/s
Rektaszension des Radianten: 05:46 (86,5°)
Deklination des Radianten: 32,9°
Meteorstrom: sporadisch
Bahnelemente des Meteoroiden:
Periheldistanz: 0,094 AU
Exzentrizität: 0,957
Inklination: 30,7°
Länge des aufsteigenden Knotens: 238,2°
Argument des Perihels: 328,3°
Mittlere Anomalie: 349,7°
Epoche: 2022 NOV 20 21:26:09
orbit plot

Nicht-interaktives Diagramm | Interaktives Diagramm

position vs time
speed and acceleration