🇳🇴 🇬🇧 🇩🇪 🇨🇿 🇫🇮

Meteor Storsteinnesin yllä 2022-11-20 21:26:09 UTC

KML-tiedosto  |  Interaktiivinen kartta

Kartta näyttää meteorin suuntahavainnot. Vaaleammat viivat näyttävät suunnat havaintoasemilta meteorin ilmestyessä, ja tummemmat viivat näyttävät, missä se viimeksi nähtiin. Sininen nuoli näyttää meteorin näkyvän lennon.

static map
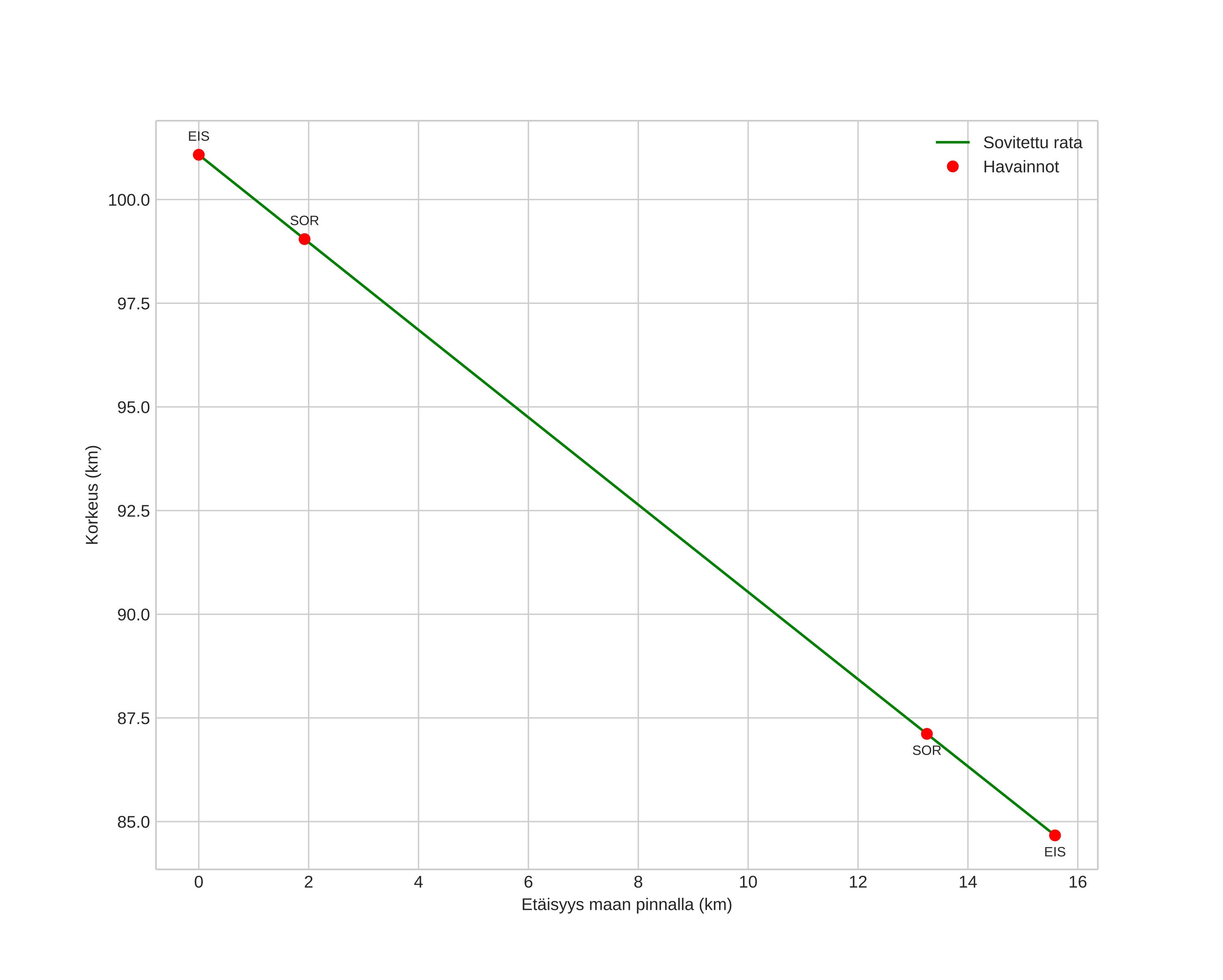
height profile
Meteorin ilmakehärata:
Alkukorkeus: 101,7 km
Loppukorkeus: 85,4 km
Alkupiste: 69,142N 19,925E
Loppupiste: 69,212N 19,586E
Suunta: 300,3°
Kallistuskulma: 46,5°
Tulonopeus: 41,6 km/s
Radiantin R,A,: 05:46 (86,5°)
Radiantin Dekl,: 32,9°
Meteoriparvi: Sporadinen
Meteoroidin rataelementit:
Perihelietäisyys: 0,094 AU
Eksentrisyys: 0,957
Inklinaatio: 30,7°
Nousevan solmun pituus: 238,2°
Perihelin argumentti: 328,3°
Keskianomalia: 349,7°
Epookki: 2022 NOV 20 21:26:09
orbit plot

Ei-interaktiivinen kuvaaja | Interaktiivinen kuvaaja

position vs time
speed and acceleration