🇳🇴 🇬🇧 🇩🇪 🇨🇿 🇫🇮

Meteor, poloha: Andenes 2022-11-21 21:21:03 UTC

Soubor KML  |  InteraktivnĂ­ mapa

Mapa zobrazuje dráhy meteoru. Světlejší čáry ukazují směry od pozorovacích stanic při objevení se meteoru a tmavší čáry, kde byl naposledy viděn. Modrá šipka značí viditelnou dráhu meteoru.

static map
height profile
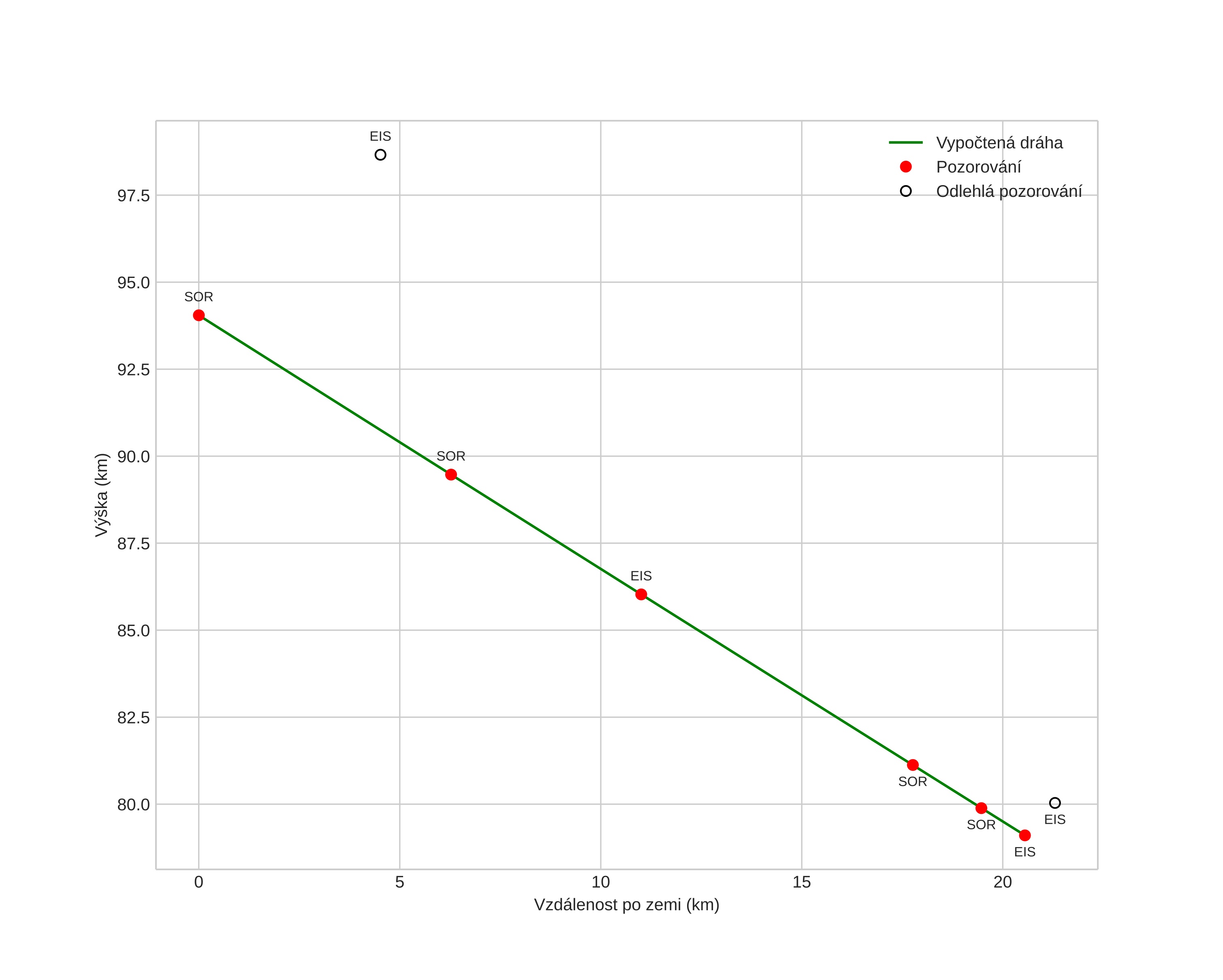
Atmosférická dráha meteoru:
Počáteční výška: 94,8 km
Konečná výška: 79,1 km
Počáteční poloha: 69,635N 16,707E
Konečná poloha: 69,791N 16,439E
Směr: 329,3°
Sklon: 37,8°
VstupnĂ­ rychlost: 29,7 km/s
Rektascenze radiantu: 04:11 (62,8°)
Deklinace radiantu: 17,7°
MeteorickĂ˝ roj: SevernĂ­ Tauridy
Elementy dráhy meteoroidu:
Vzdálenost v periheliu: 0,457 AU
Excentricita: 0,867
Sklon dráhy: 3,3°
Délka vzestupného uzlu: 59,3°
Argument perihelia: 99,0°
Střední anomálie: 353,6°
Epocha: 2022 NOV 21 21:21:03
orbit plot

NeinteraktivnĂ­ graf | InteraktivnĂ­ graf

position vs time
speed and acceleration