🇳🇴 🇬🇧 🇩🇪 🇨🇿 🇫🇮

Meteor Andenesin yllä 2022-11-21 21:21:03 UTC

KML-tiedosto  |  Interaktiivinen kartta

Kartta näyttää meteorin suuntahavainnot. Vaaleammat viivat näyttävät suunnat havaintoasemilta meteorin ilmestyessä, ja tummemmat viivat näyttävät, missä se viimeksi nähtiin. Sininen nuoli näyttää meteorin näkyvän lennon.

static map
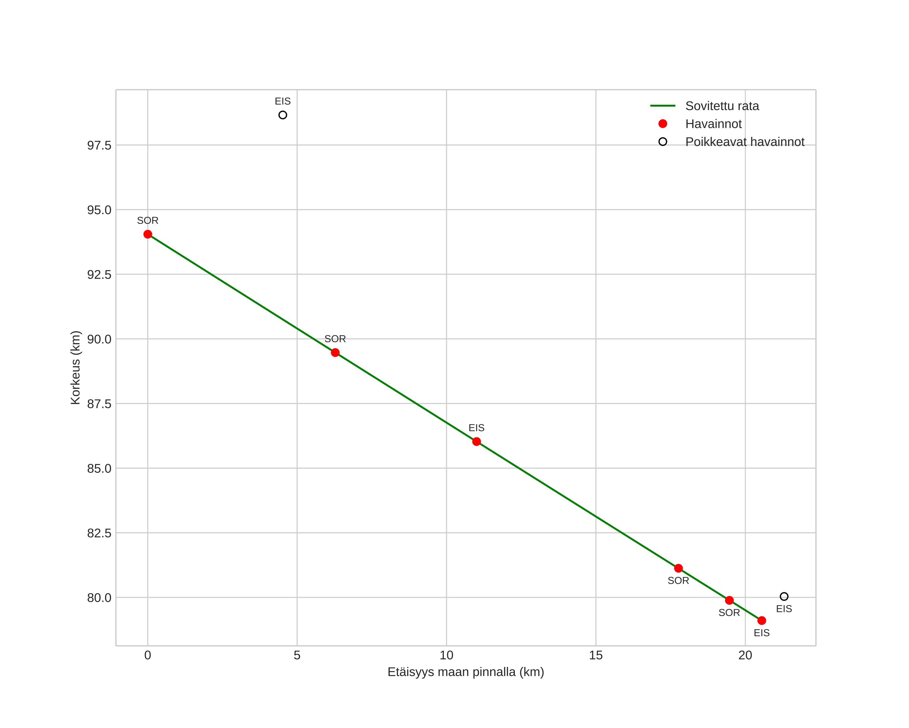
height profile
Meteorin ilmakehärata:
Alkukorkeus: 94,8 km
Loppukorkeus: 79,1 km
Alkupiste: 69,635N 16,707E
Loppupiste: 69,791N 16,439E
Suunta: 329,3°
Kallistuskulma: 37,8°
Tulonopeus: 29,7 km/s
Radiantin R,A,: 04:11 (62,8°)
Radiantin Dekl,: 17,7°
Meteoriparvi: Pohjoiset tauridit
Meteoroidin rataelementit:
Perihelietäisyys: 0,457 AU
Eksentrisyys: 0,867
Inklinaatio: 3,3°
Nousevan solmun pituus: 59,3°
Perihelin argumentti: 99,0°
Keskianomalia: 353,6°
Epookki: 2022 NOV 21 21:21:03
orbit plot

Ei-interaktiivinen kuvaaja | Interaktiivinen kuvaaja

position vs time
speed and acceleration