🇳🇴 🇬🇧 🇩🇪 🇨🇿 🇫🇮

Meteor über Andenes 2022-11-21 21:21:03 UTC

KML-Datei  |  Interaktive Karte

Die Karte zeigt die Peilungen für den Meteor. Die helleren Linien zeigen die Richtungen von den Beobachtungsorten beim Erscheinen des Meteors, und die dunkleren Linien, wo er zuletzt gesehen wurde. Der blaue Pfeil zeigt die sichtbare Bahn des Meteors.

static map
height profile
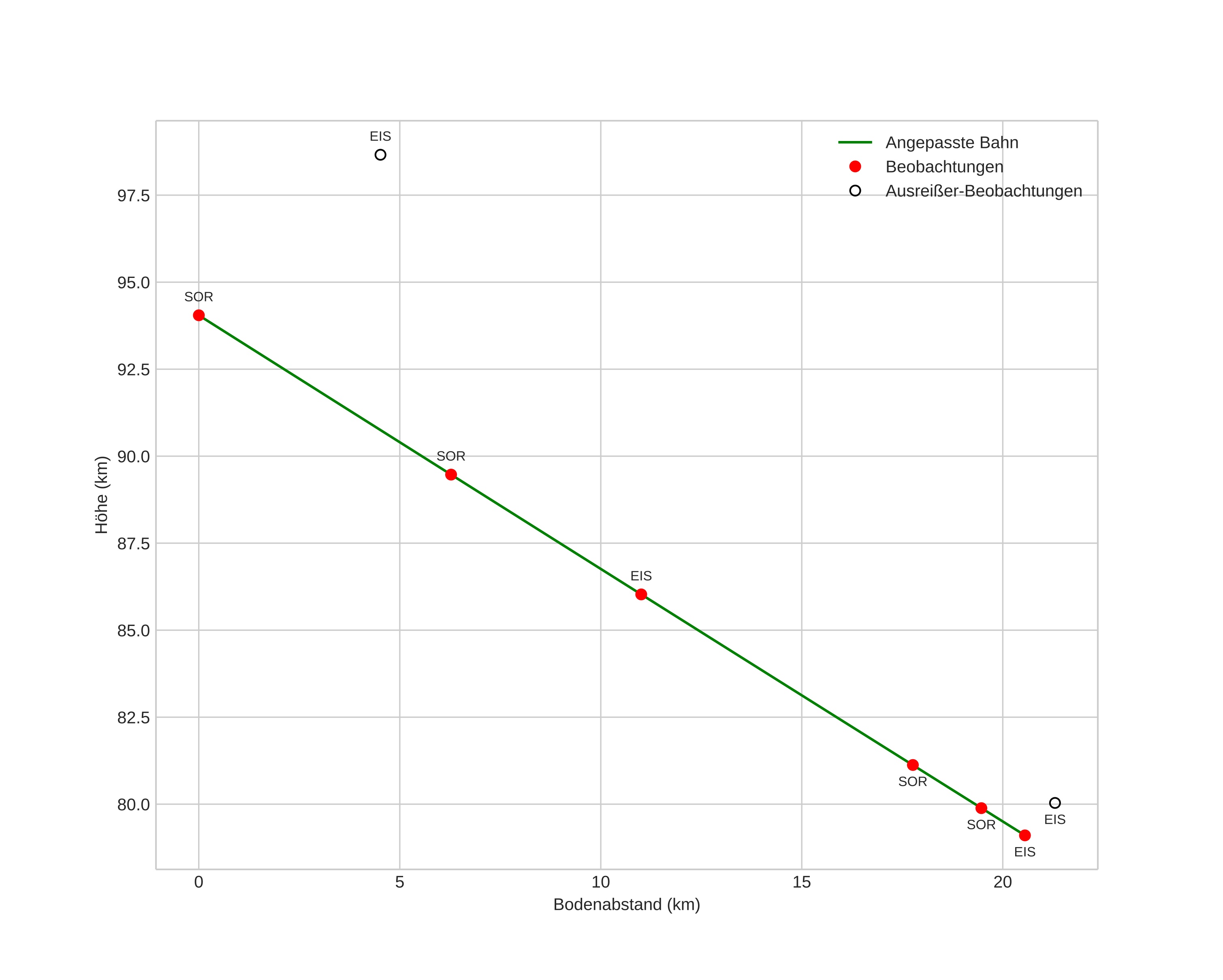
Atmosphärische Bahn des Meteors:
Anfangshöhe: 94,8 km
Endhöhe: 79,1 km
Startposition: 69,635N 16,707E
Endposition: 69,791N 16,439E
Richtung: 329,3°
Neigungswinkel: 37,8°
Eintrittsgeschwindigkeit: 29,7 km/s
Rektaszension des Radianten: 04:11 (62,8°)
Deklination des Radianten: 17,7°
Meteorstrom: Nördliche Tauriden
Bahnelemente des Meteoroiden:
Periheldistanz: 0,457 AU
Exzentrizität: 0,867
Inklination: 3,3°
Länge des aufsteigenden Knotens: 59,3°
Argument des Perihels: 99,0°
Mittlere Anomalie: 353,6°
Epoche: 2022 NOV 21 21:21:03
orbit plot

Nicht-interaktives Diagramm | Interaktives Diagramm

position vs time
speed and acceleration