🇳🇴 🇬🇧 🇩🇪 🇨🇿 🇫🇮

Meteor, poloha: Hansnes 2022-11-23 02:02:50 UTC

Soubor KML  |  InteraktivnĂ­ mapa

Mapa zobrazuje dráhy meteoru. Světlejší čáry ukazují směry od pozorovacích stanic při objevení se meteoru a tmavší čáry, kde byl naposledy viděn. Modrá šipka značí viditelnou dráhu meteoru.

static map
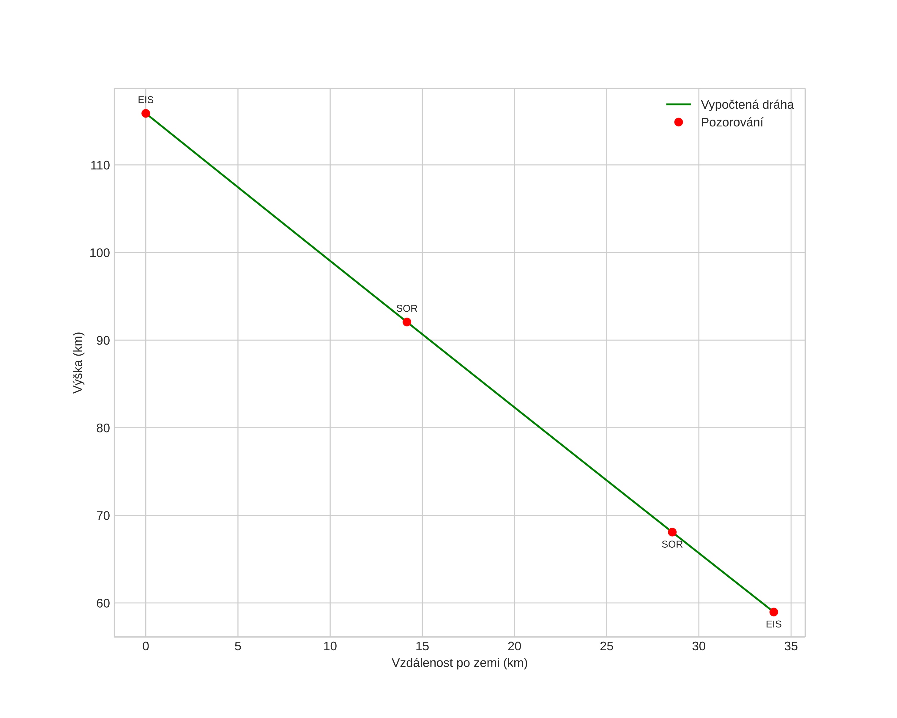
height profile
Atmosférická dráha meteoru:
Počáteční výška: 104,6 km
Konečná výška: 66,2 km
Počáteční poloha: 70,740N 19,706E
Konečná poloha: 70,567N 19,347E
Směr: 214,6°
Sklon: 58,6°
VstupnĂ­ rychlost: 41,0 km/s
Rektascenze radiantu: 15:04 (226,0°)
Deklinace radiantu: 71,1°
MeteorickĂ˝ roj: sporadickĂ˝
Elementy dráhy meteoroidu:
Vzdálenost v periheliu: 0,986 AU
Excentricita: 1,013
Sklon dráhy: 63,0°
Délka vzestupného uzlu: 240,4°
Argument perihelia: 184,2°
Střední anomálie: -0,0°
Epocha: 2022 NOV 23 02:02:50
orbit plot

NeinteraktivnĂ­ graf | InteraktivnĂ­ graf

position vs time
speed and acceleration