🇳🇴 🇬🇧 🇩🇪 🇨🇿 🇫🇮

Meteor über Hansnes 2022-11-23 02:02:50 UTC

KML-Datei  |  Interaktive Karte

Die Karte zeigt die Peilungen für den Meteor. Die helleren Linien zeigen die Richtungen von den Beobachtungsorten beim Erscheinen des Meteors, und die dunkleren Linien, wo er zuletzt gesehen wurde. Der blaue Pfeil zeigt die sichtbare Bahn des Meteors.

static map
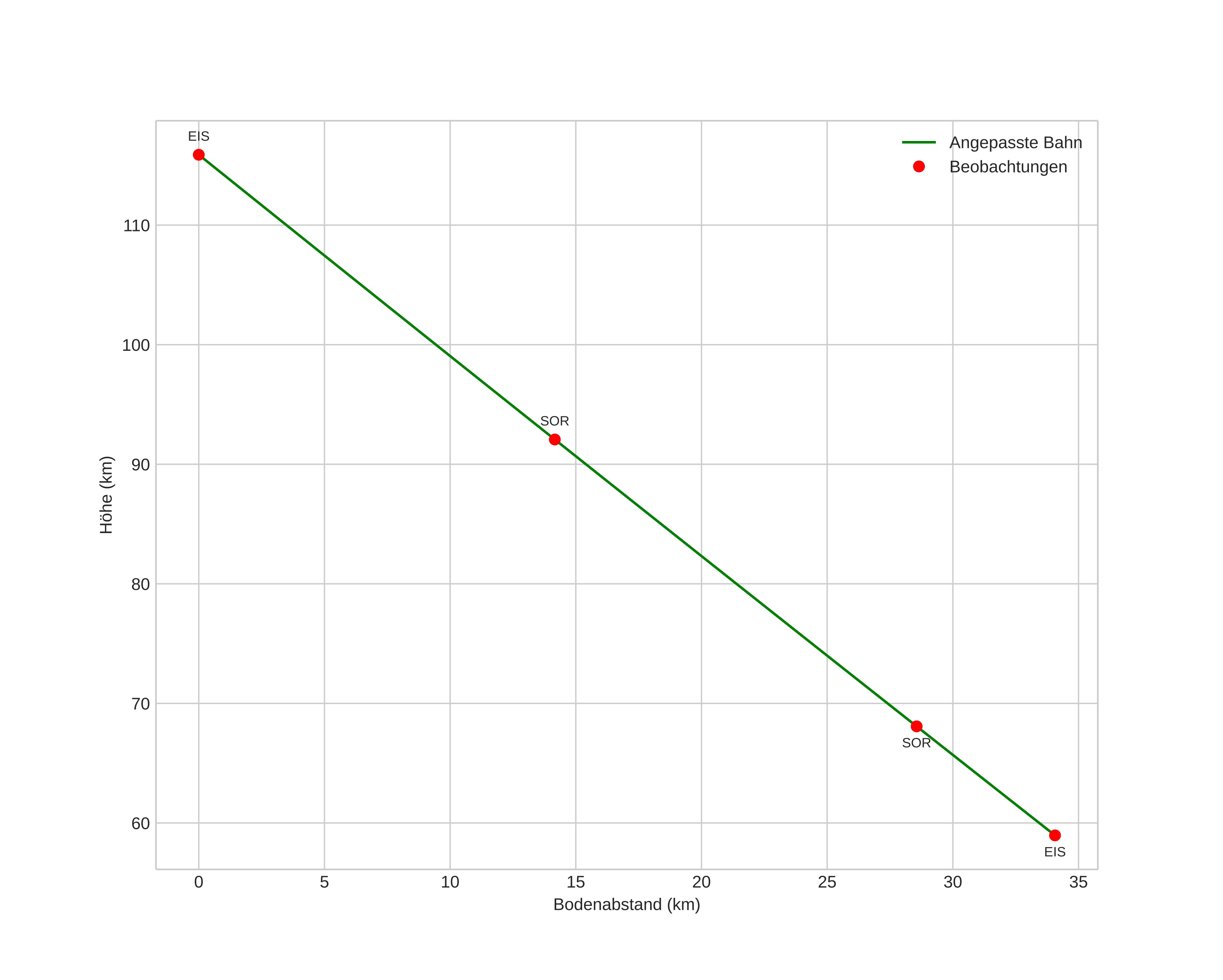
height profile
Atmosphärische Bahn des Meteors:
Anfangshöhe: 104,6 km
Endhöhe: 66,2 km
Startposition: 70,740N 19,706E
Endposition: 70,567N 19,347E
Richtung: 214,6°
Neigungswinkel: 58,6°
Eintrittsgeschwindigkeit: 41,0 km/s
Rektaszension des Radianten: 15:04 (226,0°)
Deklination des Radianten: 71,1°
Meteorstrom: sporadisch
Bahnelemente des Meteoroiden:
Periheldistanz: 0,986 AU
Exzentrizität: 1,013
Inklination: 63,0°
Länge des aufsteigenden Knotens: 240,4°
Argument des Perihels: 184,2°
Mittlere Anomalie: -0,0°
Epoche: 2022 NOV 23 02:02:50
orbit plot

Nicht-interaktives Diagramm | Interaktives Diagramm

position vs time
speed and acceleration